Đề thi tuyển sinh vào lớp 10 môn Toán năm học 2014-2015 trường THPT Đoàn Thượng, Hải Dương
Đề thi tuyển sinh vào lớp 10 môn Toán năm học 2014-2015 trường THPT Đoàn Thượng, Hải Dương là đề thi vào lớp 10 môn Toán có đáp án hay dành cho các bạn tham khảo, ôn tập, làm thử đề thi và làm quen nhiều dạng câu hỏi, cách trình bày và tư duy thật nhuần nhuyễn trước khi bước vào kì thi tuyển sinh vào lớp 10 sắp tới.
Đề thi tuyển sinh vào lớp 10 môn Toán
| SỞ GIÁO DỤC VÀ ĐÀO TẠO HẢI DƯƠNG ---------- ĐỀ CHÍNH THỨC |
KỲ THI TUYỂN SINH LỚP 10 THPT NĂM HỌC 2014 – 2015 MÔN THI: TOÁN Thời gian làm bài: 120 phút (không kể thời gian giao đề) Ngày thi: Ngày 13 tháng 7 năm 2014 (Đề thi gồm: 01 trang) |
Câu 1 (2,0 điểm).
a) Giải phương trình: x(x+2) = 3.
b) Giải hệ phương trình:
| { | y = 2x -1 |
| x + 3y = 11 |
Câu 2 (2,0 điểm).
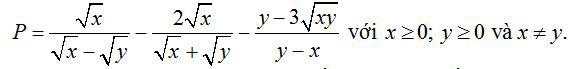
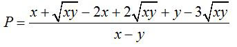
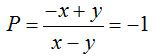
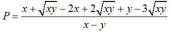
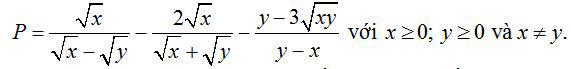
a) Rút gọn biểu thức:

b) Một sân trường hình chữ nhật có chiều dài hơn chiều rộng 16 mét. Hai lần chiều dài kém năm lần chiều rộng 28 mét. Tính chiều dài và chiều rộng của sân trường.
Câu 3 (2,0 điểm).
a) Cho đường thẳng y = (2m - 3)x - 1/2 (d). Tìm giá trị của m để đường thẳng (d) đi qua điểm A(-1/2, 2/3).
b) Tìm m để phương trình x² - 2x - 2m + 1 = 0 có hai nghiệm phân biệt x1, x2 thỏa mãn điều kiện x2² + (x1² - 1) + x1²(x2² - 1) = 8.
Câu 4 (3,0 điểm).
Qua điểm C nằm ngoài đường tròn (O), vẽ tiếp tuyến CD với đường tròn (O) (D là tiếp điểm). Đường thẳng CO cắt đường tròn tại hai điểm A và B (A nằm giữa C và B). Kẻ dây DE vuông góc với AB tại điểm H.
a) Chứng minh tam giác CED là tam giác cân.
b) Chứng minh tứ giác OECD là tứ giác nội tiếp.
c) Chứng minh hệ thức AC.BH = AH.BC.
Đáp án đề thi vào lớp 10 môn Toán
I) HƯỚNG DẪN CHUNG
- Thí sinh làm bài theo cách khác nhưng đúng vẫn cho điểm tối đa.
- Sau khi cộng điểm toàn bài, điểm lẻ đến 0,25 điểm.
Câu 1:
a, Giải phương trình x(x + 2) = 3 tương đương x² +2x - 3 = 0. Dễ dàng tính được phương trình có 2 nghiệm x = 1 và x = -3.
b,
Giải hệ phương trình:
| { | y = 2x -1 |
| x + 3y = 11 |
| { | y = 2x -1 |
| x + 3(2x - 1) = 11 |
| { | y = 2x -1 |
| x =2 |
Giải hệ phương trình được x = 2 và y = 3.
Kết luận: Hệ có nghiệm (x, y) duy nhất là (2, 3).
Câu 2:
a, Rút gọn biểu thức:

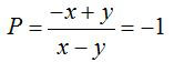
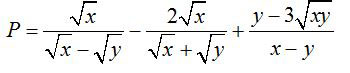
Ta có:




Vậy P = -1.
b. Gọi chiều dài, chiều rộng hình chữ nhật lần lượt là x (m), y (m), điều kiện: x > y > 0
Do chiều dài hơn chiều rộng 16 mét nên có: x - y = 16 (1)
Hai lần chiều dài kém năm lần chiều rộng 28 mét nên có: 5y - 2x = 28 (2)
Từ (1) và (2) ta có hệ phương trình:
- x - y = 16
- 5y - 2x = 28
Giải hệ phương trình ta được x = 36, y = 20
Vậy hình chữ nhật có chiều dài, chiều rộng lần lượt là 36m, 20m.