Đề thi tuyển sinh lớp 10 chuyên môn Toán sở GD&ĐT Thái Bình năm 2015 - 2016
Đề thi tuyển sinh lớp 10 chuyên môn Toán
Đề thi tuyển sinh lớp 10 chuyên môn Toán sở GD&ĐT Thái Bình năm 2015 - 2016 được VnDoc sưu tầm và đăng tải là tài liệu tham khảo hữu ích dành cho các bạn học sinh lớp 9, giúp các bạn ôn tập và nâng cao kiến thức môn Toán, chuẩn bị cho kì thi tuyển sinh vào lớp 10 hiệu quả. Đề thi có đáp án, mời các bạn tham khảo.
Đề thi tuyển sinh vào lớp 10 THPT môn Ngữ văn trường THPT chuyên Thái Nguyên năm 2015 - 2016
Đề thi tuyển sinh vào lớp 10 môn Toán chuyên sở GD&ĐT Tây Ninh năm 2014 - 2015
| SỞ GIÁO DỤC VÀ ĐÀO TẠO THÁI BÌNH | ĐỀ THI TUYỂN SINH LỚP 10 THPT CHUYÊN NĂM 2015-2016 MÔN THI: TOÁN (Dành cho tất cả thí sinh) Thời gian làm bài: 120 phút (không kể thời gian giao đề) |
Bài 1 (3,0 điểm).
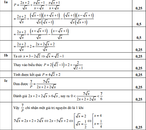
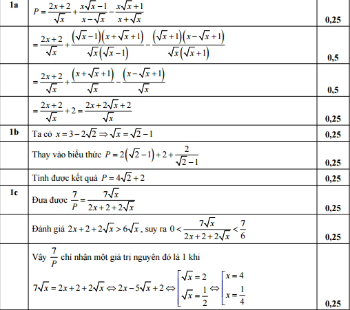
Cho biểu thức: ![]()
a) Rút gọn biểu thức P.
b) Tính giá trị của thức P khi x = 3 - 2√2
c) Chứng minh rằng: với mọi giá trị của x để biểu thức P có nghĩa thì biểu thức chỉ nhận một giá trị nguyên.
Bài 2 (2,0 điểm). Cho phương trình x2 – 2mx + (m – 1)3 = 0(m là tham số).
a) Giải phương trình khi m = –1.
b) Tìm m để phương trình có hai nghiệm phân biệt trong đó có một nghiệm bằng bình phương nghiệm còn lại.
Bài 3 (1,0 điểm). Giải phương trình: ![]()
Bài 4 (3,5 điểm). Cho tam giác ABC vuông tại A, đường cao AH. Đường tròn đường kính AH, tâm O, cắt các cạnh AB và AC lần lượt tại E và F. Gọi M là trung điểm của cạnh HC.
a) Chứng minh AE.AB = AF.AC.
b) Chứng minh rằng MF là tiếp tuyến của đường tròn đường kính AH.
c) Chứng minh ![]()
d) Xác định điểm trực tâm của tam giác ABM.
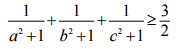
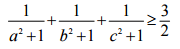
Bài 5 (0,5 điểm). Cho các số dương a, b, c thỏa mãn ab + bc + ca = 3. Chứng minh rằng:
![]()
Đáp án đề thi tuyển sinh lớp 10 chuyên môn Toán
Câu 1:

Câu 2:
a) Khi m = - 1 ta có phương trình x2 +2x - 8 = 0 (0,5đ)
Giải phương trình ta được hai nghiệm x1 = 2; x2 = -4 (0,5đ)
b) Tính được Δ`= m2 - (m - 1)3 (0,25đ)
Để phương trình có hai nghiệm phân biệt <=> m2 - (m - 1)3 > 0 (*) (0,25đ)
Gọi x1; x2 là hai nghiệm của phương trình, theo Viet ta có
![]()
Giả sử x1 = (x2)2 thay vào 2 ta được x2 = m - 1; x1 = (m-1)2 (0,25đ)
Thay hai nghiệm x1; x2 vào (1) ta được
![]()
Khẳng định hai giá trị m vừa tìm được thỏa mãn điều kiện (*) kết luận (0,25đ)
Câu 3:

Câu 4:


