Đề thi tuyển sinh vào lớp 10 môn Toán chuyên sở GD&ĐT Tây Ninh năm 2014 - 2015
Đề thi tuyển sinh vào lớp 10 môn Toán chuyên
Đề thi tuyển sinh vào lớp 10 THPT chuyên môn Toán sở GD&ĐT Tây Ninh năm 2014 - 2015 được VnDoc.com sưu tầm và đăng tải là tài liệu tham khảo hữu ích dành cho các bạn học sinh lớp 9, giúp các bạn ôn tập và nâng cao kiến thức môn Toán, chuẩn bị cho kì thi tuyển sinh vào lớp 10 hiệu quả. Đề thi có đáp án, mời các bạn tham khảo.
Đề thi tuyển sinh vào lớp 10 môn Ngữ văn sở GD&ĐT Tây Ninh năm 2015 - 2016
SỞ GIÁO DỤC VÀ ĐÀO TẠO TÂY NINH.
KỲ THI TUYỂN SINH LỚP 10 NĂM HỌC 2014 - 2015
Ngày thi: 21 tháng 06 năm 2014
Môn thi: TOÁN (chuyên)
Thời gian: 150 phút (Không kể thời gian giao đề)
ĐỀ CHÍNH THỨC
(Đề thi có 1 trang, thí sinh không phải chép đề vào giấy thi)
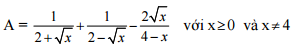
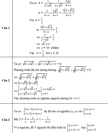
Câu 1: (1 điểm) Cho biểu thức ![]()
Rút gọn A và tìm x để A = 1/3
Câu 2: (1 điểm) Tìm nghiệm nguyên dương của phương trình:![]()
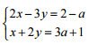
Câu 3: (1 điểm) Tìm nghiệm nguyên a để hệ phương trình ![]()
Có nghiệm (x; y) sao cho T = y/x là số nguyên.
Câu 4: (1 điểm) Định m để phương trình x2 – 2(m + 1)x + m2 + 1 = 0 có hai nghiệm x1, x2 sao cho T = x1(x1 – x2) + x22 đạt giá trị nhỏ nhất.
Câu 5: (1 điểm) Giải phương trình: ![]()
Câu 6: (1 điểm) Cho x, y là các số thực. Tìm giá trị nhỏ nhất của biểu thức: T = x2 + 2y2 – 2xy + 10x – 16y + 2048.
Câu 7: (1 điểm) Cho hình thang cân ABCD, có đáy lớn CD = 10cm, đáy nhỏ AB bằng đường cao AH (H thuộc CD), đường chéo vuông góc với cạnh bên. Tính độ dài đường cao của hình thang đó.
Câu 8: (1 điểm) Cho đường tròn (0) đường kính AB, một đường thẳng d vuông góc với AB tại I (I nằm trong đoạn AB). Lấy M là một điểm thuộc đường tròn (0), AM, BM cắt d lần lượt tại hai điểm C và D. Gọi E là điểm đối xứng với B qua I. Chứng minh tứ giác ACDE nội tiếp.
Câu 9: (1 điểm) Từ điểm C nằm ngoài đường tròn tâm (0), vẽ hai tiếp tuyến CA, CB của (0) trong đó A, B là các tiếp điểm. Đường tròn (I) tâm I đi qua C, tiếp xúc với AB tại B và cắt (0) tại M khác B. Chứng minh rằng đường thẳng AM đi qua trung điểm BC.
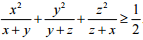
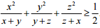
Câu 10: (1 điểm) Cho ba số dương x, y, z thỏa mãn điều kiện:
.
Chứng minh rằng ![]()
Đáp án đề thi tuyển sinh vào lớp 10 môn Toán chuyên







Câu 9:
