Giao diện mới của VnDoc Pro: Dễ sử dụng hơn - chỉ tập trung vào lớp bạn quan tâm. Vui lòng chọn lớp mà bạn quan tâm: Lưu và trải nghiệm
Đóng
Điểm danh hàng ngày
  • Hôm nay +3
  • Ngày 2 +3
  • Ngày 3 +3
  • Ngày 4 +3
  • Ngày 5 +3
  • Ngày 6 +3
  • Ngày 7 +5
Bạn đã điểm danh Hôm nay và nhận 3 điểm!
Nhắn tin Zalo VNDOC để nhận tư vấn mua gói Thành viên hoặc tải tài liệu Hotline hỗ trợ: 0936 120 169

Đề thi tuyển sinh lớp 10 THPT chuyên Lê Hồng Phong tỉnh Nam Định năm 2012 - 2013 môn Toán

Lớp: Lớp 6
Loại File: Word
Phân loại: Tài liệu Tính phí

Đề chuẩn bị cho kỳ thi vào cấp 3 sắp tới, Vndoc.com xin gửi đến các bạn: Đề thi tuyển sinh lớp 10 THPT chuyên Lê Hồng Phong tỉnh Nam Định năm 2012 - 2013 môn Toán.

Đề thi tuyển sinh lớp 10 môn Toán:

SỞ GIÁO DỤC VÀ ĐÀO TẠO
NAM ĐỊNH

ĐỀ THI CHÍNH THỨC

KỲ THI TUYỂN SINH LỚP 10 THPT CHUYÊN LÊ HỒNG PHONG
NĂM HỌC 2012 - 2013

MÔN THI: TOÁN - CHUYÊN
Thời gian làm bài: 150 phút (không kể thời gian giao đề)

Bài 1: (1,25 điểm)

1. Tìm điều kiện xác định của biểu thức:

2. Tìm các giá trị của m để đồ thị hàm số y = 2mx + 1 đi qua điểm M (1; 2).

3. Lập một phương trình bậc hai có hai nghiệm là 2 và 3.

4. Cho tam giác ABC vuông tại A có đường cao AH. Biết HB = 1cm, HC = 4cm. Tính độ dài đoạn AH.

5. Cho một hình tròn có chu vi bằng 20 cm. Tính độ dài đường kính.

Bài 2: (1,5 điểm)

Cho biểu thức: Đề thi tuyển sinh lớp 10 THPT chuyên Lê Hồng Phong tỉnh Nam Định năm 2012 - 2013 môn Toán, với điều kiện: x > 0.

1. Rút gọn biểu thức A.

2. Chứng minh A < 4.

Bài 3: (2,0 điểm)

Cho phương trình x2 - 2(m - 2)x - 3m + 3 = 0 (1) (m là tham số).

1. Giải phương trình (1) với m = 5.

2. Chứng minh phương trình (1) luôn có hai nghiệm phân biệt với mọi giá trị của m. Gọi hai nghiệm của phương trình (1) là x1, x2. Tìm các giá trị của m sao cho: 6x1x2 - (x12 + x22) + 4m2 = 0.

Bài 4: (3,0 điểm)

Cho nửa đường tròn đường kính AB, gọi C là điểm thuộc nửa đường tròn (C khác A và C khác B). Kẻ đường cao CH của tam giác ABC và đường cao HK của tam giác HBC.

1. Chứng minh CH.BC = HK.AB.

2. Gọi M và I lần lượt là trung điểm của BH và CH, chứng minh MK vuông góc KI.

3. Chứng minh đường thẳng IK tiếp xúc với đường tròn đường kính AH.

Bài 5: (1,25 điểm)

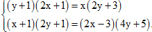
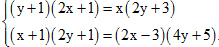
Giải hệ phương trình: Đề thi tuyển sinh lớp 10 THPT chuyên Lê Hồng Phong tỉnh Nam Định năm 2012 - 2013 môn Toán

Bài 6: (1,0 điểm)

Cho a, b, c ,d là các số thực dương thay đổi thỏa mãn điều kiện a + b +c + d = 3.

Tìm giá trị nhỏ nhất của biểu thức: Đề thi tuyển sinh lớp 10 THPT chuyên Lê Hồng Phong tỉnh Nam Định năm 2012 - 2013 môn Toán

Chọn file muốn tải về:
Đóng Chỉ thành viên VnDoc PRO/PROPLUS tải được nội dung này!
Đóng
79.000 / tháng
Đặc quyền các gói Thành viên
PRO
Phổ biến nhất
PRO+
Tải tài liệu Cao cấp 1 Lớp
30 lượt tải tài liệu
Xem nội dung bài viết
Trải nghiệm Không quảng cáo
Làm bài trắc nghiệm không giới hạn
Mua cả năm Tiết kiệm tới 48%
1

Có thể bạn quan tâm

Xác thực tài khoản!

Theo Nghị định 147/2024/ND-CP, bạn cần xác thực tài khoản trước khi sử dụng tính năng này. Chúng tôi sẽ gửi mã xác thực qua SMS hoặc Zalo tới số điện thoại mà bạn nhập dưới đây:

Số điện thoại chưa đúng định dạng!
Số điện thoại này đã được xác thực!
Bạn có thể dùng Sđt này đăng nhập tại đây!
Lỗi gửi SMS, liên hệ Admin
Sắp xếp theo
🖼️

Lớp 6

Xem thêm
🖼️

Gợi ý cho bạn

Xem thêm