Hình chữ nhật
Chuyên đề Toán học lớp 8: Hình chữ nhật được VnDoc sưu tầm và giới thiệu tới các bạn học sinh cùng quý thầy cô tham khảo. Nội dung tài liệu sẽ giúp các bạn học sinh học tốt môn Toán học lớp 8 hiệu quả hơn. Mời các bạn tham khảo.
Chuyên đề: Hình chữ nhật
A. Lý thuyết
1. Định nghĩa
Hình chữ nhật là tứ giác có bốn góc vuông. Hình chữ nhật cũng là một hình bình hành và cũng là hình thang cân

Tổng quát: ABCD là hình chữ nhật ⇔ Aˆ = Bˆ = Cˆ = Dˆ = 900
2. Tính chất
Hình chữ nhật là có tất cả các tính chất của hình bình hành và hình thang cân.
Định lí: Trong hình chữ nhật, hai đường chéo bằng nhau và cắt nhau tại trung điểm mỗi đường
3. Dấu hiệu nhận biết hình chữ nhật
+ Tứ giác có ba góc vuông là hình chữ nhật.
+ Hình thang cân có một góc vuông là hình chữ nhật.
+ Hình bình hành có một góc vuông là hình chữ nhật.
+ Hình bình hành có hai đường chéo bằng nhau là hình chữ nhật.
4. Áp dụng vào tam giác
+ Trong tam giác vuông đường trung tuyến ứng với cạnh huyền bằng nửa cạnh huyền.một cạnh bằng nửa cạnh ấy thì tam giác đó là tam giác vuông.
+ Nếu một tam giác có đường trung tuyến ứng với một cạnh bằng nửa cạnh ấy thì tam giác đó là tam giác vuông.
Ví dụ: Cho tam giác ABC, đường cao AH. Gọi I là trung điểm của AC, E là điểm đối xứng với H qua I. Chứng minh tứ giác AHCE là hình chữ nhật.
Hướng dẫn:

+ Trong Δ AHC vuông có I là trung điểm của AC
⇒ HE là đường trung tuyến của Δ AHC.
⇒ HI = 1/2AC = AI = IC.
Mà E đối xứng với H qua I ⇒ HI = IE.
Khi đó ta có HI = IE = AI = IC.
+ Xét Δ HCE có CI là đường trung tuyến ứng với cạnh HE
mà CI = 1/2HE ⇒ Δ HCE vuông tại C.
Tương tự xét với Δ AHE,Δ AEC đều là các tam giác vuông tại A, E.
Xét tứ giác AHCE có EAHˆ = AHCˆ = HCEˆ = CEAˆ = 900
⇒ AHCE là hình chữ nhật.
B. Trắc nghiệm & Tự luận
I. Bài tập trắc nghiệm
Bài 1: Chọn đáp án đúng nhất trong các đáp án sau?
A. Hình chữ nhật là tứ giác có bốn cạnh bằng nhau.
B. Hình chữ nhật là tứ giác có bốn góc vuông.
C. Hình chữ nhật là tứ giác có hai góc vuông.
D. Các phương án trên đều không đúng.
Định nghĩa: Hình chữ nhật là tứ giác có bốn góc vuông.
Chọn đáp án B.
Bài 2: Tìm câu sai trong các câu sau
A. Trong hình chữ nhật có hai đường chéo bằng nhau.
B. Trong hình chữ nhật có hai đường chéo cắt nhau tại trung điểm mỗi đường.
C. Trong hình chữ nhật có hai cạnh kề bằng nhau.
D. Trong hình chữ nhật, giao của hai đường chéo là tâm của hình chữ nhật đó
Định lý trong hình chữ nhật
+ Hình chữ nhật có hai đường chéo bằng nhau.
+ Hình chữ nhật có hai đường chéo cắt nhau tại trung điểm tại trung điểm mỗi đường.
+ Giao của hình đường chéo của hình chữ nhật là tâm của hình chữ nhật đó.
+ Hình chữ nhật có hai cạnh kề bằng nhau là hình vuông
⇒ Đáp án C sai.
Chọn đáp án C.
Bài 3: Các dấu hiệu nhận biết sau, dấu hiệu nào nhận biết chưa đúng?
A. Hình bình hành có hai đường chéo cắt nhau tại trung điểm mỗi đường là hình chữ nhật.
B. Tứ giác có ba góc vuông là hình chữ nhật.
C. Hình thang cân có một góc vuông là hình chữ nhật.
D. Hình bình hành có hai đường chéo bằng nhau là hình chữ nhật.
Dấu hiệu nhận biết hình chữ nhật:
+ Tứ giác có ba góc vuông là hình chữ nhật.
+ Hình thang cân có một góc vuông là hình chữ nhật.
+ Hình bình hành có một góc vuông là hình chữ nhật.
+ Hình bình hành có hai đường chéo bằng nhau là hình chữ nhật.
⇒ Hình bình hành có hai đường chéo cắt nhau tại trung điểm mỗi đường chưa đủ điều kiện để là hình chữ nhật.
Chọn đáp án A.
Bài 4: Khoanh tròn vào phương án sai
A. Trong tam giác vuông đường trung tuyến ứng với cạnh huyền và bằng nửa cạnh huyền.
B. Trong tam giác, đường trung tuyến với với một cạnh và bằng nửa cạnh ấy thì tam giác đó là tam giác vuông.
C. Trong tam giác vuông, đường trung tuyến ứng với cạnh góc vuông không bằng cạnh ấy.
D. Trong tam giác vuông, đường trung tuyến ứng với cạnh huyền thì vuông góc với cạnh huyền.
Định lý
+ Trong tam giác vuông đường trung tuyến ứng với cạnh huyền bằng nửa cạnh huyền.một cạnh bằng nửa cạnh ấy thì tam giác đó là tam giác vuông.
+ Nếu một tam giác có đường trung tuyến ứng với một cạnh bằng nửa cạnh ấy thì tam giác đó là tam giác vuông.
⇒ Trong tam giác vuông, đường trung tuyến ứng với cạnh huyền thì vuông góc với cạnh huyền nếu tam giác vuông đó là tam giác vuông cân.
Chọn đáp án D.
Bài 5: Trong hình chữ nhật có kích thước lần lượt là 5cm và 12cm. Độ dài đường chéo của hình chữ nhật là?
A. 17cm B. 13cm C. √ 119 cm D. 12cm
Độ dài của đường chéo hình chữ nhật bằng căn bậc hai tổng hai bình phương của hai kích thước hình chữ nhật
Do đó, độ dài đường chéo là √ (52 + 122) = 13cm
Chọn đáp án B.
II. Bài tập tự luận
Bài 1: Tứ giác ABCD có hai đường chéo vuông góc với nhau. Gọi E, F, G, H lần lượt là trung điểm của các cạnh AB, BC, CD, DA. Tứ giác EFGH là hình gì ? Giải thích ?
Hướng dẫn:

Tứ giác EFGH là hình chữ nhật.
Giải thích: Theo giả thiết ta có EF, GH lần lượt là đường trung bình của tam giác Δ ABC,Δ ADC
Áp dụng định lí đường trung bình vào hai tam giác ta được

Chứng minh tương tự: EH//FG//BD ( 2 )
Từ ( 1 ) và ( 2 ), tứ giác EFGH có hai cặp cạnh đối song song nên tứ giác EFGH là hình bình hành.
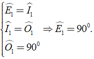
Gọi O là giao điểm của AC và BD, I là giao điểm của EF với BD.
Áp dụng tính chất của các góc đồng vị vào các đường thẳng song song ở trên và giả thiết nên ta có:

Hình bình hành EFGH có một góc vuông nên EFGH là hình chữ nhật.
Bài 2: Tìm giá trị của x từ các thông tin trên hình sau?

Hướng dẫn:
Kẻ BH ⊥ CD, tứ giác ABHD có Aˆ = ABHˆ = BHDˆ = 900
⇒ Tứ giác ABHD là hình chữ nhật.
Áp dụng tính chất của hình chữ nhật ta có:
Ta có: CD = DH + HC ⇒ HC = CD - DH = 15 - 10 = 5( cm )
+ Xét Δ BCH, áp dụng định lý Py – to – go ta có:
BC2 = HC2 + BH2 ⇒ BH2 = BC2 - HC2
⇒ BH = √ (BC2 - HC2) = √ (132 - 52) = 12( cm )
Do đó BH = AD = x = 12( cm ). Vậy x = 12
Trên đây VnDoc đã giới thiệu tới các bạn lý thuyết môn Toán học 8: Hình chữ nhật. Để có kết quả cao hơn trong học tập, VnDoc xin giới thiệu tới các bạn học sinh tài liệu Chuyên đề Toán học 8, Giải bài tập Toán lớp 8, Giải VBT Toán lớp 8 mà VnDoc tổng hợp và giới thiệu tới các bạn đọc