Trắc nghiệm Hình học 10 chương 2 bài 3
Trắc nghiệm Hình học 10
Trắc nghiệm Hình học 10 chương 2 bài 3: Hệ thức lượng trong tam giác do VnDoc sưu tầm và biên soạn, với các dạng bài tập trắc nghiệm Toán khác nhau giúp học sinh không chỉ củng cố lý thuyết bài học mà còn ôn luyện nâng cao thành tích học bản thân.
Bài tập trắc nghiệm Hình học 10 chương 2 bài 3: Hệ thức lượng trong tam giác
Câu 1: Cho tam giác ABC có AB = 4, AC = 6, góc A = 120o. Độ dài cạnh BC là:
A. √19
B. 2√19
C. 3√19
D. 2√7
Câu 2: Cho tam giác ABC có AB = 4, AC = 5, BC = 6. Giá trị cos A bằng
A. 0,125
B. 0,25
C. 0,5
D. 0,0125
Câu 3: Cho tam giác ABC có a = 3, b = 5, c = 6. Giá trị của mc bằng
A. √2
B. 2√2
C. 3
D. √10
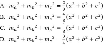
Câu 4: Cho tam giác ABC. Khẳng định nào sau đây là đúng?

Câu 5: Cho tam giác ABC là tam giác đều cạnh a. Bán kính đường tròn ngoại tiếp tam giác ABC bằng.
A.
\(\frac{a\sqrt{3}}{3}\)
B.
\(\frac{a\sqrt{3}}{2}\)
C.
\(\frac{a\sqrt{3}}{4}\)
D.
\(\frac{a\sqrt{2}}{2}\)
Câu 6: Cho tam giác ABC có AB = 10, AC = 12, góc A = 150o. Diện tích của tam giác ABC bằng
A. 60
B. 30
C. 60√3
D. 30√3
Câu 7: Cho tam giác ABC có AB = 3, AC = 4, BC = 5. Bán kính đường tròn nội tiếp của tam giác ABC bằng
A. 4
B. 3
C. 2
D. 1
Câu 8: Cho tam giác ABC có AC = 6, BC = 8. ha, hb lần lượt là độ dài các đường cao đi qua các đỉnh A, B. Tỉ số ha/hb bằng
A. 3/4
B. 4/3
C. 2/3
D. 3/2
Câu 9: Cho tam giác ABC có a = 5, b = 6, c = 7. Diện tích của tam giác ABC bằng
A. 12
\(\sqrt{6}\)
B. 3
\(\sqrt{6}\)
C. 6
\(\sqrt{6}\)
D. 9
\(\sqrt{6}\)
Câu 10: Cho tam giác ABC có a = 3, b = 5, c = 6. Bán kính đường trong nội tiếp của tam giác bằng
A.
\(\frac{2\sqrt{14}}{7}\)
B.
\(\frac{\sqrt{14}}{7}\)
C.
\(\frac{4\sqrt{14}}{7}\)
D.
\(\sqrt{14}\)
Câu 11: Cho tam giác ABC có a = 5, b = 12, c = 13. Bán kính đường tròn ngoại tiếp R của tam giác bằng
A. 13
B. 26
C. 6,5
D. 7,5
Đáp án Câu hỏi trắc nghiệm Toán 10
|
1-B |
2-A |
3-B |
4-D |
5-A |
6-B |
7-D |
8-A |
9-C |
10-A |
11-C |