Trắc nghiệm Hình học 10 bài 4
Trắc nghiệm Hình học 10
Mời quý thầy cô cùng các em học sinh tham khảo tài liệu Trắc nghiệm Hình học 10 bài 4, với các bài tập vận dụng được xây dựng trên lý thuyết trọng tâm bài học, hỗ trợ quá trình củng cố bài học và ôn luyện nâng cao môn Toán lớp 10.
Bài tập trắc nghiệm Hình học 10 bài 4: Hệ trục tọa độ
Câu 1: Vectơ nào sau đây cùng phương với vectơ
\(\underset{u}{\rightarrow}\)(-3; 7)

Câu 2: Vectơ nào sau đây cùng hướng với vectơ
\(\underset{u}{\rightarrow}\)(-3; 7)

Câu 3: Cho hai điểm A(2; -1), B(3; 0), điểm nào sau đây thẳng hàng với A, B?

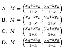
Câu 4: Trên mặt phẳng tọa độ cho hai điểm A, B. M là điểm chia đoạn AB theo tỉ số
k ≠ 1 (tức là
\(\frac{\overline{MA} }{\overline{MB} }\) = k)
Tọa độ của điểm M là:

Câu 5: Trên mặt phẳng tọa độ Oxy cho tam giác ABC. M, N, P lần lượt là trung điểm cách cạnh BC, CA, AB. Biết M(1; 2); N(3; – 5); P(5; 7). Tọa độ đỉnh A là:
A. A(7; 9)
B. A(– 2; 0)
C. A(7; – 2)
D. A(7; 0)
Câu 6: Cho
\(\underset{u}{\rightarrow}\) =(1/2;-5),
\(\underset{v}{\rightarrow}\)(m;4). Hai vectơ
\(\underset{u}{\rightarrow}\) và
\(\underset{v}{\rightarrow}\) cùng phương khi m bằng:
A. 1/2
B. 5/2
C. 2/5
D. 2
Câu 7: Cho ba điểm M(2; 2), N( - 4; - 4), P(5; 5). Khẳng định nào sau đây đúng?
A. M nằm giữa N và P
B. N nằm giữa M và P
C. P nằm giữa M và N
D. M, N, P không thẳng hàng
Câu 8: Vectơ nào trong các vectơ sau đây cùng hướng với vectơ
\(\underset{u}{\rightarrow}\)(4; -5)?

Câu 9: Trong các vectơ sau đây, có bao nhiêu cặp vectơ không cùng phương?

A. Có 2 cặp
B. Có 3 cặp
C. Có 4 cặp
D. Có 5 cặp
Câu 10: Khẳng định nào sau đây là đúng?
A. Điểm đối xứng của A(–2; 1) qua gốc tọa độ O là (1; –2)
B. Điểm đối xứng của A(–2; 1) qua trục tung là (2; 1)
C. Điểm đối xứng của A(–2; 1) qua trục hoành là (–2; –1)
D. Điểm đối xứng của A(–2; 1) qua đường phân giác của góc xOy là (1; –2)
Câu 11: Cho các điểm M(m; -2), N(1; 4), P(2; 3). Giá trị của m để M, N, P thẳng hàng là:
A. m = – 7
B. m = – 5
C. m = 7
D. m = 5
Đáp án Câu hỏi trắc nghiệm Toán 10
|
1-B |
2-D |
3-B |
4-D |
5-D |
6-C |
7-A |
8-D |
9-C |
10-D |
11-C |