Trắc nghiệm Hình học 10 chương 3 bài 1
Trắc nghiệm Hình học 10
Trắc nghiệm Hình học 10 chương 3 bài 1 do VnDoc sưu tầm và đăng tải, tài liệu bao gồm toàn bộ nội dung trọng tâm của bài học, giúp học sinh dễ dàng ghi nhớ cũng như hỗ trợ quá trình giảng dạy của thầy cô đối với môn Toán 10.
Bài tập trắc nghiệm Hình học 10 chương 3 bài 1: Phương trình đường thẳng
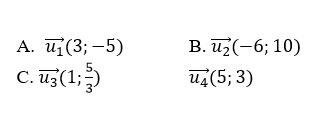
Câu 1: Cho đường thẳng Δ có một vectơ chỉ phương là
\(\underset{u}{\rightarrow}\)(-3; 5). Vectơ nào dưới đây không phải là VTCP của Δ?

Câu 2: Phương trình tham số của đường thẳng Δ đi qua điểm M(2; 3) và có hệ số góc k = 4 là:

Câu 3: Cho hai đường thẳng d1: 3x – 4y +2 = 0 và d2: mx +2y – 3 = 0. Hai đường thẳng song song vớin hau khi:
A. m = 3
B. m=3/2
C. m=-3/2
D. m = - 3
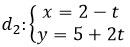
Câu 4: Cho hai đường thẳng d1: y = 3x – 1 và
![]()
Góc giữa hai đường thẳng là:
A. α = 30o
B. α=45o
C. α=60o
D. α=90o
Câu 5: Cho điểm A(-2; 1) và hai đường thẳng d1: 3x – 4y + 2 = 0 và d2: mx + 3y – 3 = 0. Giá trị của m để khoảng cách từ A đến hai đường thẳng bằng nhau là:
A. m= ±1
B. m = 1 và m = 4
C. m= ±4
D. m = - 1 và m = 4
Câu 6: Cho tam giác ABC với A(-2; 3), B(1; 4), C(5; -2). Phương trình đườgn trung tuyến AM của tam giác là:
A. x – 2y + 8 = 0
B. 2x + 5y – 11 = 0
C. 3x – y + 9 = 0
D. x + y – 1 = 0
Câu 7: Cho tam giác ABC có phương trình các cạnh AB: 3x – y + 4 = 0, AC: x + 2y – 4 = 0, BC: 2x + 3y – 2 = 0. Khí đó diệntích của tam giác ABC là:
A.
\(\frac{1}{77}\)
B.
\(\frac{38}{77}\)
C.
\(\frac{338}{77}\)
D.
\(\frac{380}{77}\)
Câu 8: Cho điểm A(3; 5) và các đường thẳng d1: y = 6, d2: x = 2. Số đường thẳng d qua A tạo với các đường thẳng d1, d2 một tam giác vuông cân là
A. 0
B. 1
C. 2
D. Vô số
Đáp án Câu hỏi trắc nghiệm Toán 10
| 1-D | 2-C | 3-C | 4-B | 5-C | 6-B | 7-C | 8-B |