Trắc nghiệm: Lực điện tổng hợp tác dụng lên một điện tích
Chuyên đề Vật lý lớp 11: Trắc nghiệm: Lực điện tổng hợp tác dụng lên một điện tích được VnDoc sưu tầm và giới thiệu tới các bạn học sinh cùng quý thầy cô tham khảo. Nội dung tài liệu sẽ giúp các bạn học sinh học tốt môn Vật lý lớp 11 hiệu quả hơn. Mời các bạn tham khảo.
Trắc nghiệm: Lực điện tổng hợp tác dụng lên một điện tích
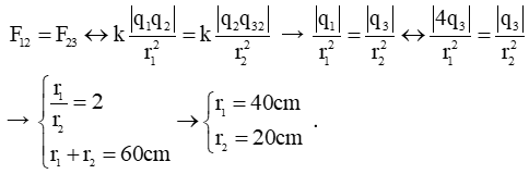
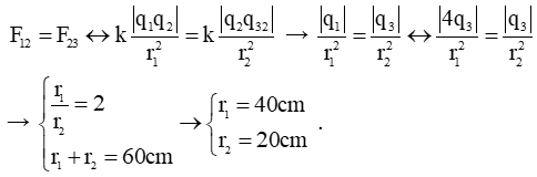
Câu 1: Cho hệ ba điện tích cô lập q1, q2, q3 nằm trên cùng một đường thẳng. Hai điện tích q1, q3 là hai điện tích dương, cách nhau 60 cm và q1 = 4q3. Lực điện tác dụng lên điện tích q2 bằng 0. Nếu vậy, điện tích q2.
A. Cách q1 20 cm, cách q3 80 cm B. Cách q1 20 cm, cách q3 40 cm
C. Cách q1 40 cm, cách q3 20 cm D. Cách q1 80 cm, cách q3 20 cm
Vì q1, q3 dương → để Fq2 = 0 thì F→12 ↑↓ F→23 và F12 = F23

→ q2 nằm trên đoạn nối q1, q3 và nằm trong khoảng q1, q3
Chọn C.
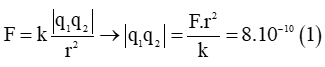
Câu 2: Hai quả cầu nhỏ tích điện giống nhau đặt trong không khí cách nhau một đoạn 1 m, đẩy nhau một lực 7,2 N. Điện tích tổng cộng của chúng là 6.10-5 C. Tìm điện tích mỗi quả cầu?
A. q1 = 2.10-5 C; q2 = 4.10-5 C B. q1 = 3.10-5 C; q2 = 2.10-5 C
C. q1 = 5.10-5 C; q2 = 10-5 C D. q1 = 3.10-5 C; q2 = 3.10-5 C
Lực điện tương tác giữa hai điện tích điểm

Lại có q1 + q2 = 6.10-5 (2)
Từ (1)(2) → q1 = 2.10-5 C; q2 = 4.10-5 C. Chọn A.
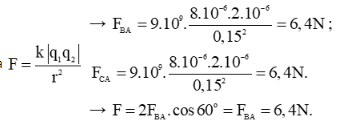
Câu 3: Tại ba đỉnh A, B, C của một tam giác đều cạnh a = 0,15 m có ba điện tích qA = 2 μC; qB = 8 μC; qC = - 8 μC. Véc tơ lực tác dụng lên có độ lớn
A. F = 5,9 N và hướng song song với BC B. F = 5,9 N và hướng vuông góc với BC
C. F = 6,4 N và hướng song song với BC D. F = 6,4 N và hướng song song với AB
Áp dụng quy tắc tổng hợp lực → F hướng song song với BC.
Chọn C.
Câu 4: Hai điện tích điểm = 2.10-2 μC và = - 2.10-2 μC đặt tại hai điểm A và B cách nhau một đoạn a = 30 cm trong không khí. Lực điện tác dụng lên điện tích qo = 2.10-9 C đặt tại điểm M cách đều A và B một khoảng bằng a có độ lớn là
A. F = 4.10-10 N B. F = 3,464.10-6 N C. F = 4.10-6 N D. F = 6,928.10-6 N

Chọn C.
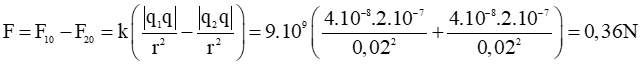
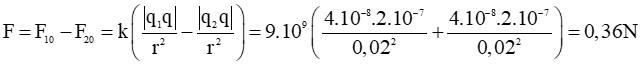
Câu 5: Hai điện tích q1 = 4.10-8C và q2 = - 4.10-8C đặt tại hai điểm A và B cách nhau một khoảng 4 cm trong không khí. Lực tác dụng lên điện tích q = 2.10-7 C đặt tại trung điểm O của AB là
A. 0 N B. 0,36 N C. 36 N D. 0,09 N

Chọn B.
Câu 6: Cho hai điện tích điểm q1, q2 có độ lớn bằng nhau và cùng dấu, đặt trong không khí và cách nhau một khoảng r. Đặt điện tích điểm q3 tại trung điểm đoạn thẳng nối hai điện tích q1 , q2. Lực tác dụng lên điện tích q3 là


Chọn D.
Câu 7: Có hai điện tích q1 = 2.10-6 C, q2 = - 2.10-6 C, đặt tại hai điểm A, B trong chân không và cách nhau một khoảng 6 cm. Một điện tích q3 = 4.10-6 C, đặt trên đường trung trực của AB, cách AB một khoảng 4 cm. Độ lớn của lực điện do hai điện tích q1 và q2 tác dụng lên điện tích q3 là
A. 14,40 N B. 17,28 N C. 34,56 N D. 28,80 N

Chọn C.
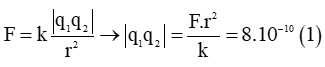
Câu 8: Hai điện tích = 4.10-8 C và = -4.10-8 C đặt tại hai điểm A và B cách nhau khoảng a = 4 cm trong không khí. Lực tác dụng lên điện tích q = 2.10-7 C đặt tại trung điểm O và AB là
A. 3,6 N B. 0,36 N C. 36 N D. 7,2 N

→ F = F1 + F2 = 0,36N. Chọn B.
Câu 9: Hai quả cầu nhỏ tích điện giống nhau đặt trong không khí cách nhau một đoạn 0,5 m, đẩy nhau một lực 7,2 N. Điện tích tổng cộng của chúng là 4,5.10-5 C. Điện tích mỗi quả cầu bằng
A. = 0,5.10-5 C; = 4.10-5 C B. = 1.10-5 C; = 3,5.10-5 C
C. = 2.10-5 C; = 2,5.10-5 C D. = 3.10-5 C; = 1,5.10-5 C

q1 + q2 = 4,5.10-5 (2)
Câu 10: Ba điện tích điểm q1 = 4.10-8 C; q2 = -4.10-8 C; q3 = 5.10-8 C đặt trong không khí tại ba đỉnh A, B, C của tam giác đều cạnh a = 2 cm. Xác định các véc tơ lực tác dụng lên ba điện tích.
A. F1 = F2 = 50.10-3 N; F3 = 45.10-3 N B. F1 = F2 = 70,3.10-3 N; F3 = 45.10-3 N
C. F1 = F2 = 45.10-3 N; F3 = 41,2.10-3 N D. F1 = F2 = 41,2.10-3 N; F3 = 45.10-3 N

F3 = 2F23.cos60 = 0,045N = 45.10-3N. Chọn D.
Câu 11: Hai điện tích q1 = 4.10-8 C và q2= - 4.10-8 C đặt tại hai điểm A và B cách nhau một khoảng 4cm trong không khí. Lực tác dụng lên điện tích q = 2.10-7 C đặt tại trung điểm O của AB là
A. 0 N B. 0, 36 N C. 36 N D. 0, 09 N

Chọn B.
Trên đây VnDoc đã giới thiệu tới các bạn lý thuyết Vật lý 11: Trắc nghiệm: Lực điện tổng hợp tác dụng lên một điện tích. Để có kết quả cao hơn trong học tập, VnDoc xin giới thiệu tới các bạn học sinh tài liệu Chuyên đề Vật lý 11, Giải Vở BT Vật Lý 11, Giải bài tập Vật Lí 11, Tài liệu học tập lớp 11 mà VnDoc tổng hợp và giới thiệu tới các bạn đọc