Lực điện tổng hợp tác dụng lên một điện tích
Chuyên đề Vật lý lớp 11: Lực điện tổng hợp tác dụng lên một điện tích được VnDoc sưu tầm và giới thiệu tới các bạn học sinh cùng quý thầy cô tham khảo. Nội dung tài liệu sẽ giúp các bạn học sinh học tốt môn Vật lý lớp 11 hiệu quả hơn. Mời các bạn tham khảo.
Chuyên đề:Lực điện tổng hợp tác dụng lên một điện tích
A. Phương pháp & Ví dụ bài lực điện tổng hợp tác dụng lên một điện tích
- Khi một điện tích điểm q chịu tác dụng của nhiều lực tác dụng F→1, F→2, ... do các điện tích điểm q1, q2, ... gây ra thì hợp lực tác dụng lên q là: F→ = F→1 + F→2 + F→3 + ... + F→n
- Các bước tìm hợp lực F→ do các điện tích q1; q2; ... tác dụng lên điện tích qo:
Bước 1: Xác định vị trí điểm đặt các điện tích (vẽ hình).
Bước 2: Tính độ lớn các lực F1, F2 lần lượt do q1 và q2 tác dụng lên qo.
Bước 3: Vẽ hình các vectơ lực F→1, F→2
Bước 4: Từ hình vẽ xác định phương, chiều, độ lớn của hợp lực F→.
- Các trường hợp đặc biệt:
F→1 và F→2 cùng chiều thì: F = F1 + F2 (α = 0, cosα = 1).
F→1 và F→2 ngược chiều thì: F = |F1 – F2| (α = π, cosα = –1).
F→1 và F→2 vuông góc thì:
(α = 90°, cosα = 0).
F→1 và F→2 cùng độ lớn (F1 = F2) thì: ![]()
Tổng quát: F2 = F12 + F22 + 2F1F2cosα(α là góc hợp bởi F→1 và F→2 ).

Ví dụ 1: Hai điện tích q1 = 8.10-8 C, q2 = - 8.10-8 C đặt tại A, B trong không khí (AB = 6 cm). Xác định lực tác dụng lên q3 = 8.10-8 C, nếu:
a) CA = 4cm, CB = 2cm
b) CA = 4cm, CB = 10cm
c) CA = CB = 5cm
Hướng dẫn:
Điện tích q3 sẽ chịu hai lực tác dụng của q1 và q2 là F→1 và F→2.
Lực tổng hợp tác dụng lên q3 là: F→ = F→1 + F→2
a) Trường hợp 1: CA = 4cm, CB = 2cm
Vì AC + CB = AB nên C nằm trong đoạn AB.
q1, q3 cùng dấu nên F→1 là lực đẩy
q2, q3 trái dấu nên F→2 là lực hút.

Trên hình vẽ, ta thấy F→1 và F→2 cùng chiều.
Vậy: F→ cùng chiều F→1, F→2 (hướng từ C đến B).
Độ lớn:

b) Trường hợp 2: CA = 4cm, CB = 10cm
Vì CB – CA = AB nên C nằm trên đường AB, ngoài khoảng AB, về phía A.

Ta có:

Theo hình vẽ, ta thấy F→1 và F→2 ngược chiều, F→1 > F→2.
Vậy:
+ F→ cùng chiều F→1 (hướng xảy ra A, B)
+ Độ lớn F = F1 – F2 = 30,24.10-3N
c) Trường hợp 3: Vì C cách đều A, B nên C nằm trên đường trung trực của đoạn AB.

Ta có:

Vì F1 = F2 nên F→ nằm trên phân giác góc (F→1; F→2).
⇒ F→ ⊥ CH(phân giác của hai góc kề bù) ⇒ F→ // AB
Nên:

Vậy: F→ có phương song song với AB, chiều hướng từ A đến B, độ lớn F = 27,65.10-3N.
Ví dụ 2: Ba điện tích điểm q1 = -10-7 C, q2 = 5.10-8 C, q3 = 4.10-8 C lần lượt tại A, B, C trong không khí. Biết AB = 5 cm, BC = 1 cm, AC = 4 cm. Tính lực tác dụng lên mỗi điện tích.
Hướng dẫn:
Trong một tam giác tổng hai cạnh bất kì luôn lớn hơn cạnh còn lại nên dễ thấy A, B, C phải thẳng hàng.
Lực tác dụng lên điện tích q1
+ Gọi lần lượt là lực do điện tích q2 và q3 tác dụng lên q1
+ Ta có:

+ Lực F→2, F→3 được biểu diễn như hình

+ Gọi F→ là lực tổng hợp do q2 và q3 tác dụng lên q1. Ta có: F→ = F→2 + F→3
+ Vì F→2, F→3 cùng phương cùng chiều nên ta có: F = F2 + F3 = 0,0405 N
Lực tác dụng lên điện tích q2
+ Gọi F→1, F→3 lần lượt là lực do điện tích q1 và q3 tác dụng lên q2
+ Ta có: 
+ Lực F→1, F→3 được biểu diễn như hình

+ Gọi F→ là lực tổng hợp do q2 và q3 tác dụng lên q1. Ta có: F→ = F→1 + F→3
+ Vì F→1, F→3 cùng phương, ngược chiều nên ta có: F = F3 – F1 = 0,162 N
Lực tác dụng lên điện tích q3
+ Gọi F→1, F→2 lần lượt là lực do điện tích q1 và q2 tác dụng lên q3
+ Ta có: 
+ Lực F→1, F→2 được biểu diễn như hình

+ Gọi F→ là lực tổng hợp do q1 và q2 tác dụng lên q3. Ta có: F→ = F→1 + F→2
+ Vì F→1, F→2 cùng phương cùng chiều nên ta có: F = F1 + F2 = 0,2025 N
Ví dụ 3: Ba điện tích điểm q1 = 4.10-8C, q2 = –4.10-8C, q3 = 5.10-8C đặt trong không khí tại ba đỉnh ABC của một tam giác đều, cạnh a = 2cm. Xác định vectơ lực tác dụng lên q3.
Hướng dẫn:

Vậy: Vectơ lực tác dụng lên q3 có:
+ điểm đặt: tại C.
+ phương: song song với AB.
+ chiều: từ A đến B.
+ độ lớn: F3 = 45.10-3N.
B. Bài tập lực điện tổng hợp tác dụng lên một điện tích
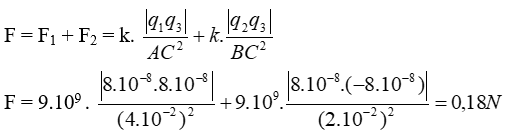
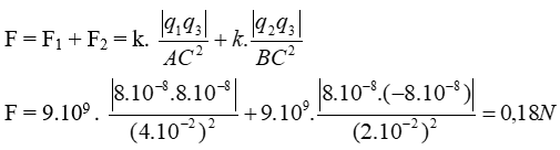
Bài 1: Đặt hai điện tích điểm q1 = -q2 = 8.10-8 C tại A,B trong không khí cách nhau 6 cm. Xác định lực điện tác dụng lên q3 = 8.10-8 C đặt tại C trong hai trường hợp:
a) CA = 4 cm, CB = 2 cm
b) CA = 4 cm, CB = 10 cm.
a. Trường hợp C trong AB.
Gọi F→1, F→2 lần lượt là lực do điện tích q1 và q2 tác dụng lên q3
+ Ta có:

+ Gọi F→ là lực tổng hợp tác dụng lên điện tích q3, ta có: F→ = F→1 + F→2
+ Vì F→1 ↑↑ F→2 nên: F = F1 + F2 = 0,18 N.
b. Trường hợp C ngoài AB về phía A
Gọi F→1, F→2 lần lượt là lực do điện tích q1 và q2 tác dụng lên q3
+ Ta có:

+ Gọi F→ là lực tổng hợp tác dụng lên điện tích q3, ta có: F→ = F→1 + F→2
+ Vì F→1 ↓↑ F→2 và F1 > F2 nên: F = F1 – F2 = 0,03 N.
Bài 2: Trong chân không, cho hai điện tích q1 = -q2 = 10-7 C đặt tại hai điểm A và B cách nhau 8 cm. Xác định lực tổng hợp tác dụng lên điện tích q0 = 10-7 C trong các trường hợp sau:
a) Điện tích q0 đặt tại H là trung điểm của AB.
b) Điện tích q0 đặt tại M cách A đoạn 4 cm, cách B đoạn 12 cm.
a) Gọi F→1, F→2 lần lượt là lực do điện tích q1 và q2 tác dụng lên q0
+ Ta có:

+ Gọi F→ là lực tổng hợp tác dụng lên điện tích q0, ta có: F→ = F→1 + F→2
+ Vì F→1 ↑↑ F→2 nên: F = F1 + F2 = 0,1125 N
b) Gọi F→1, F→2 lần lượt là lực do điện tích q1 và q2 tác dụng lên q0
+ Ta có:

+ Gọi F→ là lực tổng hợp tác dụng lên điện tích q0, ta có: F→ = F→1 + F→2
+ Vì F→1 ↓↑ F→2 nên: F = F1 - F2 = 0,05 N
Bài 3: Cho năm điện tích Q được đặt trên cùng một đường thẳng sao cho hai điện tích liền nhau cách nhau một đoạn a. Xác định lực tác dụng vào mỗi điện tích. Vẽ hình ký hiệu các điện tích bằng các chỉ số 1,2,3,4,5.

Bài 4: Đặt hai điện tích điểm q1 = -q2 = 2.10-8 C tại A, B trong không khí cách nhau 12 cm. Xác định lực điện tác dụng lên q3 = 4.10-8 C tại C mà CA = CB = 10 cm.

F→ = F→1 + F→2
F1 = F2 ⇒ F→ // AB→
Hay F2 = 2F1.cosα = 2F1cosA = 0,432.10-3 N.
Bài 5: Tại hai điểm A và B cách nhau 20 cm trong không khí, đặt hai điện tích q1 = -3.10-6C, q2 = 8.10-6C. Xác định lực điện trường tác dụng lên điện tích q3 = 2.10-6C đặt tại C. Biết AC = 12 cm, BC = 16 cm.

Bài 6: Ba điện tích q1 = q2 = q3 = 1,6.10-19 C đặt trong không khí, tại 3 đỉnh của tam giác đều ABC cạnh a = 16 cm. Xác định véctơ lực tác dụng lên q3.

Gọi F→1, F→2 lần lượt là lực do điện tích q1 và q2 tác dụng lên q3
+ Ta có:

+ Lực tác dụng F→1, F→2 được biểu diễn như hình
+ Vì tam giác ANB đều nên α = 60°
+ Gọi F→ là lực tổng hợp tác dụng lên điện tích q0
+ Ta có: F→ = F→1 + F→2
![]()
+ Thay số được F = 9√3.10-27
+ Vậy lực tổng hợp F→ tác dụng lên q3 có điểm đặt tại C, phương vuông góc với AB, chiều như hình và độ lớn F = 9√3.10-27.
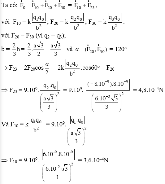
Bài 7: Tại ba đỉnh tam giác đều cạnh a = 6cm trong không khí có đặt ba điện tích q1 = 6.10-9C, q2 = q3 = – 8.10-9C. Xác định lực tác dụng lên q0 = 8.10-9C tại tâm tam giác.


⇒ F0 = 3,6.10-4 + 4,8.10-4 = 8,4.10-4N
Vậy: Vectơ lực tác dụng lên q0 có:
+ điểm đặt: tại O.
+ phương: vuông góc với BC.
+ chiều: từ A đến BC.
+ độ lớn: F0 = 8,4.10-4N.
Trên đây VnDoc đã giới thiệu tới các bạn lý thuyết Vật lý 11: Lực điện tổng hợp tác dụng lên một điện tích. Chắc hẳn qua bài viết bạn đọc đã nắm được những ý chính cũng như trau dồi được nội dung kiến thức của bài viết rồi đúng không ạ? Bài viết đã cho chúng ta thấy được phương pháp và các bài tập về lực điện tổng hợp tác dụng lên một điện tích. Hi vọng qua bài viết này bạn đọc có thêm nhiều tài liệu để học tập tốt hơn nhé. Để có kết quả cao hơn trong học tập, VnDoc xin giới thiệu tới các bạn học sinh tài liệu Chuyên đề Vật lý 11, Giải Vở BT Vật Lý 11, Giải bài tập Vật Lí 11, Tài liệu học tập lớp 11 mà VnDoc tổng hợp và giới thiệu tới các bạn đọc