Trắc nghiệm: Lực tương tác giữa hai điện tích điểm
Chuyên đề Vật lý lớp 11: Trắc nghiệm Lực tương tác giữa hai điện tích điểm được VnDoc sưu tầm và giới thiệu tới các bạn học sinh cùng quý thầy cô tham khảo. Nội dung tài liệu sẽ giúp các bạn học sinh học tốt môn Vật lý lớp 11 hiệu quả hơn. Mời các bạn tham khảo.
Trắc nghiệm: Lực tương tác giữa hai điện tích điểm
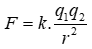
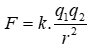
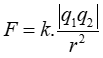
Câu 1: Công thức của định luật Culông là
.
Chọn C.
Câu 2: Đồ thị diễn lực tương tác Culông giữa hai điện tích quan hệ với bình phương khoảng cách giữa hai điện tích là đường:
A. hypebol. B. thẳng bậc nhất. C. parabol. D. elíp
Ta có :
suy ra đồ thị giữa lực tương tác F và bình phương khoảng cách giữa 2 điện tích là một Hypebol. Chọn A.
Câu 3: Khẳng định nào sau đây không đúng khi nói về lực tương tác giữa hai điện tích điểm trong chân không?
A. có phương là đường thẳng nối hai điện tích
B. có độ lớn tỉ lệ với tích độ lớn hai điện tích
C. có độ lớn tỉ lệ nghịch với khoảng cách giữa hai điện tích
D. là lực hút khi hai điện tích trái dấu.
Ta có:
.
Do đó lực tương tác giữa hai điện tích điểm trong chân không có độ lớn tỉ lệ nghịch với bình phương khoảng cách giữa hai điện tích nên C sai. Chọn C.
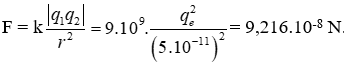
Câu 4: Khoảng cách giữa một proton và một electron là r = 5.10-9 cm, coi rằng proton và electron là các điện tích điểm. Tính lực điện tương tác giữa chúng
A. 9,216.10-12 N. B. 4,6.10-12 N. C. 9,216.10-8 N. D. 4,6.10-10 N.
Điện tích của electron là : qe = -1,6.10-19
Điện tích của proton là: qp = 1,6.10-19. Khoảng cách giữa chúng là r = 5.10-11 m
Lực tương tác điện giữa chúng là :
. Chọn C.
Câu 5: Hai điện tích điểm q1 = +3 μC và q2 = -3 μC, đặt trong dầu (ε = 2) cách nhau một khoảng r = 3 cm. Lực tương tác giữa hai điện tích đó là
A. 5N B. 25N C. 30N D. 45N
. Chọn D.
Câu 6: Hai điện tích điểm bằng nhau được đặt trong nước ( ε = 81) cách nhau 3cm. Lực đẩy giữa chúng bằng 0,2.10-15 N. Hai điện tích đó là
A. 4,472.10-8 C. B. 4,472.10-9 C. C. 4,025.10-8 C. D. 4,025.10-9 C.
. Chọn D.
Câu 7: Hai quả cầu nhỏ giống nhau, mỗi vật thừa một electron. Tìm khối lượng mỗi quả cầu để lực tĩnh điện bằng lực hấp dẫn giữa chúng. Cho G = 6,67.10-11 m3/kg.s
A. 2,86.10-9 kg B. 1,86.10-9 kg C. 4,86.10-9 kg D. 9,86.10-9 kg

Chọn B.
Câu 8: Tính lực tương tác điện, lực hấp dẫn giữa electron và hạt nhân trong nguyên tử Hyđrô, biết khoảng cách giữa chúng là 5.10-9 cm, khối lượng hạt nhân bằng 1836 lần khối lượng electron.
A. Fđ = 7,2.10-8 N, Fh = 34.10-48 N. B. Fđ = 9,2.10-8 N, Fh = 36.10-51 N.
C. Fđ = 9,2.10-8 N, Fh = 41.10-48 N. D. Fđ = 10,2.10-8 N, Fh = 51.10-51 N.
N.
Chọn C.
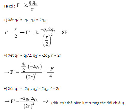
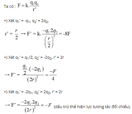
Câu 9: Hai điện tích điểm nằm yên trong chân không chúng tương tác với nhau một lực F. Người ta thay đổi yếu tố q1, q2, r thấy lực tương tác đổi chiều nhưng độ lớn không đổi. Hỏi các yếu tố trên thay đổi như thế nào?
A. q1’ = -q1, q2’ = 2q2, r’ = r/2 . B. q1’ = q1/2, q2’ = -2q2, r’ = 2r.
C. q1’ = -2q1, q2’ = 2q2, r’ = 2r. D. Các yếu tố không đổi.

Chọn C.
Câu 10: Hai quả cầu kim loại nhỏ tích điện cách nhau 2,5 m trong không khí chúng tương tác với nhau bởi lực 9 mN. Cho hai quả cầu tiếp xúc nhau thì điện tích của mỗi quả cầu bằng -3 μC. Tìm điện tích của các quả cầu ban đầu:
A. q1 = -6,8 μC ; q2 = 3,8 μC. B. q1 = 4 μC ; q2 = -7 μC.
C. q1 = -1,34 μC ; q2 = -4,66 μC. D. q1 = 2,3 μC ; q2 = -5,3 μC.

Câu 11: Hai điện tích đặt gần nhau, nếu giảm khoảng cách chúng đi 2 lần thì lực tương tác giữa hai vật sẽ:
A. tăng lên 2 lần. B. giảm đi 2 lần. C. tăng lên 4 lần. D. giảm đi 4 lần.
Công thức độ lớn lực tương tác giữa 2 điện tích điểm là: ![]()
Với r là khoảng cách giữa 2 điện tích điểm. Khi giảm khoảng cách 2 lần suy ra F tăng lên 4 lần. Chọn C.
Câu 12: Hai điện tích điểm nằm yên trong chân không tương tác với nhau một lực F. Người ta giảm mỗi điện tích đi một nửa, và khoảng cách cũng giảm một nửa thì lực tương tác giữa chúng sẽ:
A. không đổi. B. tăng gấp đôi. C. giảm một nửa. D. giảm bốn lần.
.
Chọn A.
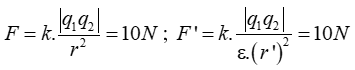
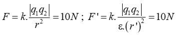
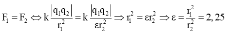
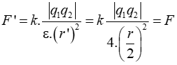
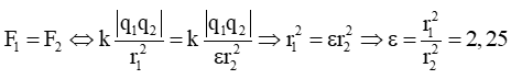
Câu 13: Hai điện tích điểm đặt trong không khí cách nhau 12 cm, lực tương tác giữa chúng bằng 10 N. Đặt chúng vào trong dầu cách nhau 8 cm thì lực tương tác giữa chúng vẫn bằng 10 N. Hằng số điện môi của dầu là:
A. 1,51. B. 2,01. C. 3,41. D. 2,25.
Ta có :

Do đó r2 = ε.(r')2 ⇒ ε = 2,25 . Chọn D.
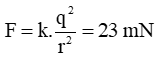
Câu 14: Cho hai quả cầu nhỏ trung hòa điện cách nhau 40 cm. Giả sử bằng cách nào đó có 4.1012 electron từ quả cầu này di chuyển sang quả cầu kia. Khi đó chúng hút đầy nhau? Tính độ lớn lực tương tác đó
A. Hút nhau F = 23 mN. B. Hút nhau F = 13 mN.
C. Đẩy nhau F = 13 mN. D. Đẩy nhau F = 23 mN.
Do có 4.1012 electron từ quả cầu này di chuyển sang quả cầu kia nên 2 quả cầu mang điện tích trái dấu và có |q1| = |q2| = 4.1012.1,6.10-19 = 6,4.10-7.
Khi đó 2 quả cầu hút nhau và
. Chọn A.
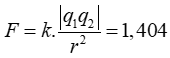
Câu 15: Hai điện tích điểm cách nhau một khoảng 2m đẩy nhau một lực 1,404 N. Tổng điện tích của hai vật bằng 5.10-5 C. Tính điện tích của mỗi vật:
A. q1 = 2,6.10-5 C, q2 = 2,4.10-5 C. B. q1 = 1,6.10-5 C, q2 = 3,4.10-5 C.
C. q1 = 4,6.10-5 C, q2 = 0,4.10-5 C. D. q1 = 3.10-5 C, q2 = 2.10-5 C.
Ta có: q1 + q2 = 5.10-5 C.
Mặt khác
⇒ |q1q2| = 6,24.10-10 (Đến đây ta có thể thử 4 đáp án)
Vì 2 điện tích đẩy nhau nên chúng cùng dấu suy ra q1q2 = 6,24.10-10
Khi đó q1, q2 là nghiệm của PT: q2 – 5.10-5q + 6,24.10-10 → q1 = 2,6.10-5 C, q2 = 2,4.10-5 C. Chọn A.
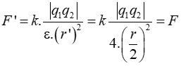
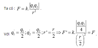
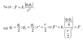
Câu 16: Hai điện tích điểm đặt cách nhau một khoảng r trong không khí thì hút nhau một lực F Đưa chúng vào trong dầu có hằng số điện môi ε = 4 chúng cách nhau một khoảng r’ = r/2 thì lực hút giữa chúng là:
A. F B. F/2 C. 2F D. F/4
Ta có:
. Khi đưa vào dầu và cho chúng cách nhau một khoảng r’ = r/2 thì lực hút của chúng là:
. Chọn A.
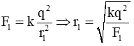
Câu 17: Hai điện tích điểm bằng nhau đặt trong chân không cách nhau một khoảng r1 = 2 cm. Lực đẩy giữa chúng là F1 = 1,6.10-4 N. Để lực tương tác giữa hai điện tích đó bằng F2 = 2,5.10-4 N. Tính khoảng cách giữa hai điện tích khi đó
A. 2,5cm B. 5cm C. 1,6cm D. 1cm
.
Câu 18: Hai điện tích bằng nhau, nhưng khác dấu, chúng hút nhau bằng một lực 10-5N. Khi chúng rời xa nhau thêm một khoảng 4mm, lực tương tác giữa chúng bằng 2,5.10-6N. Khoảng cách ban đầu của các điện tích bằng
A. 1mm. B. 2mm. C. 4mm. D. 8mm.
Ban đầu ta có:
.
Tương tự suy ra:
. Chọn C.
Câu 19: Điện tích tích điểm được đặt trong không khí cách nhau 12cm. Lực tương tác giữa hai điện tích đó bằng 10N. Đặt hai điện tích đó vào trong dầu và đưa chúng cách nhau 8cm thì lực tương tác tác giữa chúng vẫn bằng 10N. Hỏi hằng số điện môi của dầu?
A. ε = 1,51 B. ε = 2,01 C. ε = 3,41 D. ε = 2,25.
Theo giả thiết bài toán ta có:
. Chọn D.
Trên đây VnDoc đã giới thiệu tới các bạn lý thuyết Vật lý 11: Trắc nghiệm: Lực tương tác giữa hai điện tích điểm. Để có kết quả cao hơn trong học tập, VnDoc xin giới thiệu tới các bạn học sinh tài liệu Chuyên đề Vật lý 11, Giải Vở BT Vật Lý 11, Giải bài tập Vật Lí 11, Tài liệu học tập lớp 11 mà VnDoc tổng hợp và giới thiệu tới các bạn đọc