Bộ đề thi học kì 2 lớp 4 theo Thông tư 22
Bộ đề thi học kì 2 lớp 4 năm học 2016 - 2017 được VnDoc sưu tầm, tổng hợp trọn bộ 6 môn Toán, Tiếng Việt, Khoa Học, Lịch Sử - Địa Lý, Tin học. Bộ đề thi học kì 2 lớp 4 này có đáp án và bảng ma trận đề thi học kì 2 theo Thông tư 22 kèm theo giúp các em ôn tập, hệ thống, củng cố kiến thức chuẩn bị tốt cho các bài thi học kì 2. Đồng thời đây cũng là tài liệu tham khảo hữu ích cho các thầy cô khi ra đề thi học kì cho các em học sinh. Sau đây mời thầy cô cùng các bạn học sinh tham khảo và tải về trọn bộ đề thi, đáp án.
Bộ đề thi học kì 2 lớp 4 theo Thông tư 22
- Đề thi học kì 2 lớp 4 mới nhất: năm 2018 - 2019
- Đề thi học kì 2 lớp 4 môn Tiếng Việt
- Đáp án và hướng dẫn giải môn Tiếng Việt lớp 4 học kì 2
- Đề thi học kì 2 môn Toán lớp 4
- Đề cương, đề ôn tập học kì 2 môn Toán lớp 4
- Đề thi học kì 2 môn Sử - Địa lớp 4
- HƯỚNG DẪN CHẤM MÔN LỊCH SỬ VÀ ĐỊA LÍ LỚP 4
- Đề thi học kì 2 môn Khoa học lớp 4
- Ma trận đề thi học kì 2 môn Tin học lớp 4
- Đề thi học kì 2 môn Tin lớp 4
- ĐÁP ÁN VÀ THANG ĐIỂM CHẤM MÔN TIN HỌC LỚP 4
Đề thi học kì 2 lớp 4 mới nhất: năm 2018 - 2019
- Bộ đề thi học kì 2 lớp 4 năm 2018 - 2019 theo Thông tư 22
- Bộ đề thi học kì 2 lớp 4 môn Toán năm học 2018 - 2019
- Đề thi học kì 2 môn Toán lớp 4 theo Thông tư 22 năm học 2018 - 2019
- Đề thi học kì 2 môn Tiếng Việt lớp 4 năm học 2018 - 2019
- Đề thi học kì 2 môn Khoa học lớp 4 năm học 2018 - 2019 theo Thông tư 22
- Đề thi học kì 2 môn Lịch sử - Địa lý lớp 4 năm học 2018 - 2019
- Đề thi học kì 2 môn Tin học lớp 4 năm 2018 - 2019
Đề thi học kì 2 lớp 4 môn Tiếng Việt
Bảng ma trận đề thi học kì 2 môn Tiếng Việt lớp 4
|
Nội dung kiểm tra |
Chủ đề |
Mạnh kiến thức |
Số câu Số điểm Câu số |
Mức 1 |
Mức 2 |
Mức 3 |
Mức 4 |
Tổng |
|||||
|
ĐỌC
|
|
|
|
TN |
TL |
TN |
TL |
TN |
TL |
TN |
TL |
TN |
TL |
|
Đọc thành tiếng |
HS đọc một 1 đoạn văn kết hợp trả lời câu hỏi với nội dung đoạn vừa đọc theo yêu cầu của giáo viên |
Số câu |
|
|
1 |
|
|
|
|
|
1 |
|
|
|
|
|
Câu số |
|
|
|
|
|
|
|
|
|
|
|
|
|
|
Số điểm |
|
|
3 |
|
|
|
|
|
3 |
|
|
|
Đọc hiểu văn bản |
-Xác định được hình ảnh, nhân vật, chi tiết có ý nghĩa trong bài đọc. - Hiểu nội dung của đoạn, bài đã đọc, hiểu ý nghĩa của bài. - Giải thích được chi tiết trong bài bằng suy luận trực tiếp hoặc rút ra thông tin từ bài đọc. -Nhận xét được hình ảnh, nhân vật hoặc chi tiết trong bài đọc; biết liên hệ những điều đọc được với bản thân và thực tế. |
Số câu |
2 |
|
2 |
|
|
1 |
|
1 |
4 |
2 |
|
|
|
|
Câu số |
1-2 |
|
3-4 |
|
|
5 |
|
6 |
|
|
|
|
|
|
Số điểm |
1 |
|
1 |
|
|
1 |
|
1 |
2 |
2 |
|
|
Kiến thức Tiếng Việt |
- Hiểu nghĩa và sử dụng được một số từ ngữ (kể cả thành ngữ, tục ngữ, từ Hán Việt thông dụng) thuộc các chủ điểm đã học. - Sử dụng được dấu chấm, dấu chấm hỏi, dấu chấm than, dấu phẩy, dấu hai chấm, dấu ngoặc kép, dấu gạch ngang - Nhận biết và bước đầu cảm nhận được cái hay của những câu văn có sử dụng biện pháp so sánh, nhân hóa; biết dùng biện pháp so sánh và nhân hóa để viết được câu văn hay. |
Số câu |
1 |
|
1 |
|
|
1 |
|
1 |
2 |
2 |
|
|
|
|
Câu số |
7 |
|
8 |
|
|
9 |
|
10 |
|
|
|
|
|
|
Số điểm |
0,5 |
|
0,5 |
|
|
1 |
|
1 |
1 |
2 |
|
|
VIẾT
|
Chính tả |
HS viết chính tả nghe đọc với đoạn........ theo yêu cầu. |
Số câu |
|
1 |
|
|
|
|
|
|
|
1 |
|
|
|
Câu số |
|
|
|
|
|
|
|
|
|
|
|
|
|
|
Số điểm |
|
2 |
|
|
|
|
|
|
|
2 |
|
|
Tập làm văn |
|
Số câu |
|
|
|
|
|
|
|
1 |
|
1 |
|
|
|
|
Câu số |
|
|
|
|
|
|
|
|
|
|
|
|
|
|
Số điểm |
|
|
|
|
|
|
|
8 |
|
8 |
|
|
Tổng |
Số câu |
3 |
1 |
4 |
|
|
2 |
|
3 |
7 |
6 |
||
|
|
Số điểm |
1,5 |
2 |
4,5 |
|
|
2 |
|
10 |
6 |
14 |
||
A/ KIỂM TRA ĐỌC: (10đ)
I- Kiểm tra đọc thành tiếng: (3 điểm)
II- Kiểm tra đọc hiểu kết hợp kiểm tra kiến thức tiếng Việt: (7 điểm) (Thời gian 35 phút)
Đọc thầm bài: "Bốn anh tài (tt)" - SGK TV 4 - Tập 2 trang 17 và làm bài tập sau:
Bốn anh tài
(Tiếp theo)
Bốn anh em tìm tới chỗ yêu tinh ở. Nơi đây bản làng vắng teo, chỉ còn mỗi một bà cụ được yêu tinh cho sống sót để chăn bò cho nó. Thấy anh em Cẩu Khây kêu đói, bà cụ nấu cơm cho ăn. Ăn no, bốn cậu bé lăn ra ngủ. Tờ mờ sáng, bỗng có tiếng đập cửa. Biết yêu tinh đã đánh hơi thấy thịt trẻ con, bà cụ liền lay anh em Cẩu Khây dậy, giục chạy trốn. Cẩu Khây bèn nói:
- Bà đừng sợ, anh em chúng cháu đến đây để bắt yêu tinh đấy.
Cẩu Khây hé cửa. Yêu tinh thò đầu vào, lè lưỡi dài như quả núc nác, trợn mắt xanh lè. Nắm Tay Đóng Cọc đấm một cái làm nó gãy gần hết hàm răng. Yêu tinh bỏ chạy. Bốn anh em Cẩu Khây liền đuổi theo nó. Cẩu Khây nhổ cây bên đường quật túi bụi.
Yêu tinh đau quá hét lên, gió bão nổi ầm ầm, đất trời tối sầm lại. Đến một thung lũng, yêu tinh dừng lại, phun nước ra như mưa. Nước dâng ngập cả cánh đồng. Nắm Tay Đóng Cọc đóng cọc be bờ ngăn nước lụt, Lấy Tai Tát Nước tát nước ầm ầm qua núi cao, Móng Tay Đục Máng ngã cây khoét máng, khơi dòng nước chảy đi. Chỉ một lúc, mặt đất lại cạn khô. Yêu tinh núng thế, đành phải quy hàng.
Từ đấy, bản làng lại đông vui.
Truyện cổ dân tộc Tày
Khoanh vào chữ cái trước câu trả lời đúng nhất:
Câu 1/ Tới nơi yêu tinh ở, anh em Cẩu Khây gặp ai đầu tiên? (M1-0,5đ)
A. Yêu tinh
B. Bà cụ
C. Ông cụ
D. Cậu bé.
Câu 2/ Tại sao anh em Cẩu Khây chiến thắng được yêu tinh? (M2-0,5đ)
A.Vì anh em Cẩu Khây có sức khỏe
B. Vì anh em Cẩu Khây có tài năng phi thường
C. Vì anh em Cẩu Khây có lòng dũng cảm
D. Cả ba ý trên đều đúng.
Câu 3/ Yêu tinh có phép thuật gì? (M1-0,5)
A. Phun lửa
B. Phun nước
C. Tạo ra sấm chớp
D. Biến hóa, tàng hình
Câu 4/ Bốn anh em Cẩu Khây làm gì để chống lại yêu tinh ?(M2-0,5đ)
A.Nắm Tay Đóng Cọc đóng cọc, Cẩu Khây nhổ cây, Lấy Tai Tát Nước khoét máng, Móng Tay Đục Máng tát nước.
B. Nắm Tay Đóng Cọc đóng cọc, Cẩu Khây nhổ cây, Lấy Tai Tát Nước tát nước, Móng Tay Đục Máng khoét máng.
C. Nắm Tay Đóng Cọc đóng cọc, Cẩu Khây khoét máng, Lấy Tai Tát Nước tát nước, Móng Tay Đục Máng nhổ cây.
D. Nắm Tay Đóng Cọc nhổ cây, Cẩu Khây đóng cọc, Lấy Tai Tát Nước tát nước, Móng Tay Đục Máng khoét máng.
Câu 5/ Tại sao anh em Cẩu Khây chiến thắng được yêu tinh? (M3-1đ)
Câu 6/ Bài đọc: "Bốn anh tài (tt)" ca ngợi ai, hành động gì? (M4-1đ)
Bài đọc "Bốn anh tài (tt) ca ngợi sức khỏe, tài năng, tinh thần đoàn kết, hiệp lực chiến đấu, quy phục yêu tinh, cứu dân bản của bốn anh em Cẩu Khây.
Câu 7/ Các từ gạch chân trong câu: "Con người lao động, đánh cá, săn bắn." thuộc từ loại: (M1-0,5)
A. Danh từ B. Động từ C. Tính từ và danh từ D. Tính từ
Câu 8/ Câu tục ngữ nào có nghĩa: "Hình thức thường thống nhất với nội dung"? (M2-0,5đ)
A. Chết vinh còn hơn sống nhục.
B. Người thanh tiếng nói cũng thanh.
C. Trông mặt mà bắt hình dong.
D. Tốt gỗ hơn tốt nước sơn.
Câu 9/ Em viết một đoạn văn 2 đến 3 câu có sử dụng câu kể Ai là gì? nói về gia đình em. (M4) (1đ)
Câu 10/ Xác định chủ ngữ, vị ngữ trong câu "Một đàn ngỗng vươn dài cổ, chúi mỏ về phía trước, định đớp bọn trẻ". (M3-1đ)
- Chủ ngữ:.......................................................................................................
- Vị ngữ:.........................................................................................................
B. KIỂM TRA VIẾT (10 điểm)
I. Chính tả: (Nghe – viết) (2 điểm)
Bài: Sầu riêng
(từ Hoa sầu riêng trổ vào cuối năm ... đến tháng năm ta.) (Sách Tiếng Việt 4, tập 2 trang 34)
II. Tập làm văn (8 điểm)
Đề bài: Tả một loài cây mà em yêu thích.
Đáp án và hướng dẫn giải môn Tiếng Việt lớp 4 học kì 2
II- Kiểm tra đọc hiểu kết hợp kiểm tra kiến thức tiếng Việt: (7 điểm) (Thời gian 35 phút)
Câu 1/ ( M1-0,5đ) B. Bà cụ
Câu 2/ ( M2-0,5 đ) D. Cả ba ý trên đều đúng.
Câu 3/ ( M1-0,5đ) B. Phun nước
Câu 4/ ( M2-0,5 đ) B. Nắm Tay Đóng Cọc đóng cọc, Cẩu Khây nhổ cây, Lấy Tai Tát Nước tát nước, Móng Tay Đục Máng khoét máng.
Câu 5/ ( M3-1đ) Tại vì anh em Cẩu Khây có sức khỏe và tài năng phi thường, lòng dũng cảm, đồng tâm hiệp lực nên đã chiến thắng được yêu tinh
Câu 6/ (M4-1đ) Bài đọc "Bốn anh tài (tt) ca ngợi sức khỏe, tài năng, tinh thần đoàn kết, hiệp lực chiến đấu, quy phục yêu tinh, cứu dân bản của bốn anh em Cẩu Khây.
Câu 7/ ( M1-0,5đ) B. Động từ
Câu 8/ ( M2-0,5đ) D. Tốt gỗ hơn tốt nước sơn.
Câu 9: ( M4-1đ) Em viết một đoạn văn 2 đến 3 câu có sử dụng câu kể Ai là gì? nói về gia đình em. (M4) (1đ)
Bố em là công nhân đóng tàu.
Mẹ là giáo viên tiểu học.
Anh em là kĩ sư.
Câu 10/ ( M3-1đ)
- Chủ ngữ: Một đàn ngỗng.
- Vị ngữ: vươn dài cổ, chúi mỏ về phía trước, định cướp bọn trẻ.
B. KIỂM TRA VIẾT (10 điểm)
I. Chính tả: (2 điểm)
- Viết tốc độ đạt yêu cầu, chữ viết rõ ràng, viết đúng kiểu chữ, cỡ chữ, trình bày đúng quy định, viết sạch đẹp: 1 điểm
- Viết đúng chính tả (không mắc quá 5 lỗi): 1 điểm
II. Tập làm văn: (8 điểm)
- Mở bài: (1 điểm)
- Thân bài: (4 điểm) (Trong đó: Nội dung (1,5đ); Kĩ năng (1,5đ); Cảm xúc (1đ))
- Kết bài: (1 điểm)
- Chữ viết, chính tả (0,5 điểm) - Dùng từ đặt câu (0,5 điểm) - Sáng tạo (1 điểm)
>> Tham khảo bộ đề thi mới nhất: Bộ đề thi học kì 2 lớp 4 năm 2017 - 2018 theo Thông tư 22
Đề thi học kì 2 môn Toán lớp 4
Bảng ma trận đề thi học kì 2 môn Toán lớp 4
|
Stt |
Chủ đề |
Câu/ điểm |
Mức 1 |
Mức 2 |
Mức 3 |
Mức 4 |
Tổng số |
|||||
|
|
|
|
TN |
TL |
TN |
TL |
TN |
TL |
TN |
TL |
TN |
TL |
|
1 |
Số tự nhiên và các phép tính với số tự nhiên. Phân số và các phép tính với phân số. |
Số câu |
2 |
|
1 |
1 |
|
2 |
1 |
|
4 |
3 |
|
|
|
Câu số |
1,2 |
|
4 |
6 |
|
8,9 |
5 |
|
|
|
|
|
|
Số điểm |
2 |
|
1 |
1 |
|
3 |
1 |
|
4 |
4 |
|
2 |
Đại lượng và đo đại lượng: khối lượng, diện tích, thời gian. |
Số câu |
1 |
|
|
|
|
|
|
|
1 |
0 |
|
|
|
Câu số |
3 |
|
|
|
|
|
|
|
|
|
|
|
|
Số điểm |
1 |
|
|
|
|
|
|
|
1 |
0 |
|
3 |
Nhận biết hành bình hành, hình thoi và một số đặc điểm của nó; tính chu vi, diện tích hình chữ nhật, hình bình hành, hình thoi. |
Số câu |
|
|
|
1 |
|
|
|
|
0 |
1 |
|
|
|
Câu số |
|
|
|
7 |
|
|
|
|
|
|
|
|
|
Số điểm |
|
|
|
1 |
|
|
|
|
0 |
1 |
|
Tổng số câu |
3 |
0 |
1 |
2 |
0 |
2 |
1 |
0 |
5 |
4 |
||
|
Tổng số mức |
3 |
3 |
2 |
1 |
|
|
||||||
|
Tổng số điểm |
3 |
0 |
1 |
2 |
0 |
3 |
1 |
0 |
5 |
5 |
||
I. PHẦN TRẮC NGHIỆM (5 điểm)
* Khoanh tròn vào chữ cái đặt trước kết quả đúng
Câu 1 (1 điểm) Trong các phân số sau, phân số tối giản là: (M1)

Câu 2 (1 điểm) Giá trị của chữ số 5 trong số 58 3624 là: (M1)
a. 800 b. 8 000 c. 80 000 d. 800 000
Câu 3: Số thích hợp điền vào chỗ trống của: 2 yến 5 kg =...... kg là: (1 điểm) (M1)
a. 25 b. 2005 c. 250 d. 20005
Câu 4: (1 điểm) Phân số 2/3 bằng phân số nào dưới đây (M2)
![]()
Câu 5 (1 điểm) Kết quả của phép tính:
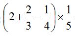
là: (M4)
![]()
II. PHẦN TỰ LUẬN (5 điểm)
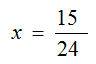
Câu 6 (1 điểm): Tìm x (M2)

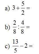
Câu 7 (1,5 điểm) Tính (M3)

Câu 8 (1,5 điểm) Trường Tiểu học Bình An 3 có số học sinh Khá gấp 3 lần số học sinh Giỏi. Biết rằng số học sinh Khá nhiều hơn số học sinh Giỏi là 140 em. Hỏi trường có bao nhiêu học sinh Giỏi và học sinh Khá? (M3)
Câu 9 (1 điểm) Một hình chữ nhật có chiều dài là 24 mét, chiều rộng bằng 2/3 chiều dài. Tính diện tích hình chữ nhật đó. (M2)
Đáp án và hướng dẫn chấm môn Toán lớp 4
Phần trắc nghiệm
|
Câu |
1 |
2 |
3 |
4 |
5 |
|
Đáp án |
d |
c |
a |
c |
c |
|
Mức |
1 |
1 |
1 |
2 |
4 |
|
Điểm |
1 |
1 |
1 |
1 |
1 |
Phần tự luận:
Câu 6: (1 điểm)

Câu 7: (1,5 điểm)

Câu 8: (1,5 điểm)
Giá trị một phần (hay số số học sinh Giỏi là): 0,5đ
140 : (3 -2) = 70 (học sinh) 0,25đ
Số học sinh khá: 0,25đ
70 x 3 hoặc 140 +70 = 210 (học sinh) 0,25đ
Đáp số:
Khá: 210 học sinh
Giỏi: 70 học sinh 0,25đ
Câu 9: (1điểm)
Chiều rộng hình chữ nhật là: 24 x 2/3 = 16 (m) 0,5đ
Diện tích hình chữ nhật là: 24 x 16 = 384 (m2) 0,5đ
Đề cương, đề ôn tập học kì 2 môn Toán lớp 4
- Đề cương ôn tập học kì 2 môn Toán lớp 4 năm 2018 - 2019
- Đề ôn tập học kì 2 môn Toán lớp 4 - Đề 1
- Đề ôn tập học kì 2 môn Toán lớp 4 - Đề 2
- Đề ôn tập học kì 2 môn Toán lớp 4 - Đề 3
- Đề ôn tập học kì 2 môn Toán lớp 4 - Đề 4
- Đề ôn tập học kì 2 môn Toán lớp 4 - Đề 5
- Đề ôn tập học kì 2 môn Toán lớp 4 - Đề 6
- Đề ôn tập học kì 2 môn Toán lớp 4 - Đề 7
Đề thi học kì 2 môn Sử - Địa lớp 4
ĐỀ KIỂM TRA CUỐI NĂM HỌC
NĂM HỌC: 2016 – 2017
Môn: Lịch sử và Địa lí – Lớp 4
Thời gian: 40 phút
Phần Lịch sử
Khoanh vào trước ý trả lời đúng nhất.
Câu 1: Nhà Hậu Lê cho vẽ bản đồ Hồng Đức để làm gì?
a) Để quản lí đất đai, bảo vệ chủ quyền dân tộc
b) Để bảo vệ trật tự xã hội
c) Để bảo vệ quyền lợi của vua
Câu 2: Tác phẩm nào dưới đây không phải của Nguyễn Trãi?
a) Bộ Lam Sơn thực lục
b) Bộ Đại Việt sử kí toàn thư
c) Dư địa chí
d) Quốc âm thi tập
Câu 3: Điền các từ ngữ: (thanh bình, khuyến nông, ruộng hoang, làng quê) vào chỗ trống của các câu ở đoạn văn sau cho thích hợp:
Quang Trung ban bố "Chiếu .................................", lệnh cho dân đã từng bỏ ........................... phải trở về quê cũ cày cấy, khai phá ........................... . Với chính sách này, chỉ vài năm sau, mùa màng trở lại tươi tốt, làng xóm lại .........................
Câu 4: Vì sao Lê Lợi chọn ải Chi Lăng làm trận địa đánh địch?
a. Vì ải Chi Lăng là vùng núi hiểm trở, đường nhỏ hẹp, rừng cây um tùm thích hợp cho quân ta mai phục
b. Vì ải Chi Lăng là vùng núi rộng có nhiều vàng bạc, thích hợp cho quân ta tập trung và dự trữ lương thực
c. Vì ải Chi Lăng là vùng núi rất cao, cách xa nơi quân địch đóng quân nên quân địch không tìm đến được
Câu 5: Nhà Hậu Lê đã làm gì để khuyến khích việc học tập? Em có nhận xét gì về việc việc làm của nhà Hậu Lê?
....................................................................................................................................................................................................................................................................................................................................................................................
Phần Địa lý
Khoanh vào chữ cái trước ý trả lời đúng
Câu 6: Ở đồng bằng duyên hải miền Trung:
a. Dân cư thưa thớt, chủ yếu là người Kinh và người chăm.
b. Dân cư tập trung khá đông đúc, chủ yếu là người Kinh, người Chăm.
c. Dân cư tập trung đông đúc, chủ yếu là người Kinh.
Câu 7: Ý nào dưới đây không phải là điều kiện để đồng bằng Nam Bộ trở thành vựa lúa, vựa trái cây lớn nhất cả nước?
a. Đất đai màu mỡ, khí hậu nóng ẩm
b. Người dân cần cù lao động
c. Có nhiều đất chua, đất mặn
Câu 8: Điền từ ngữ thích hợp vào chỗ trồng để hoàn thành nội dung sau:
Thành phố Hồ Chí Minh nằm bên sông.......................................Đây là thành phố và là trung tâm công nghiệp...............................................của đất nước. Các sản phẩm công nghiệp của thành phố rất.........................., được tiêu thụ ở nhiều nơi trong nước và................................
Câu 9: Nối tên các thành phố ở cột A với thông tin ở cột B sao cho phù hợp.

Câu 10: Em hãy nêu vai trò của Biển Đông đối với nước ta.
....................................................................................................................................................................................................................................................................................................................................................................................
HƯỚNG DẪN CHẤM MÔN LỊCH SỬ VÀ ĐỊA LÍ LỚP 4
Học sinh làm đúng, mỗi câu 1 điểm
Câu 1: a
Câu 2: b
Câu 3: Thứ tự các từ cần điền là: khuyến nông, làng quê, ruộng hoang, thanh bình.
(điền đúng mỗi từ 0,25đ)
Câu 4: a
Câu 5: Học sinh cần nêu được 3 ý lớn
- Đặt ra lễ xứng danh (lễ đọc tên người đỗ).
- Lễ vinh quy (lễ đón rước người đỗ cao về làng).
- Khắc tên tuổi người đỗ cao vào bia đá dựng ở Văn Miếu.
Qua việc làm trên ta thấy thời Hậu Lê việc thi cử diễn ra nề nếp và có quy củ.
Câu 6: b
Câu 7: c
Câu 8: Thứ tự các từ cần điền là: Sài Gòn, lớn nhất, phong phú, xuất khẩu.
Câu 9:

Câu 10: Biển đông có vai trò:
- Kho muối vô tận
- Có nhiều khoáng sản, hải sản quý
- Điều hoà khí hậu
- Có nhiều bãi biển đẹp, nhiều vũng, vịnh thuận lợi cho việc phát triển du lịch và xây dựng các cảng biển
Bảng ma trận đề thi học kì 2 môn Sử - Địa lớp 4
|
Mạch kiến thức, kĩ năng |
Số câu và số điểm |
Mức 1 |
Mức 2 |
Mức 3 |
Mức 4 |
Tổng |
|||||
|
TNKQ |
TL |
TNKQ |
TL |
TNKQ |
TL |
TNKQ |
TL |
TNKQ |
TL |
||
|
1. Nhà Lê và việc tổ chức quản lí đất nước |
Số câu |
1 |
|
|
|
|
|
|
|
1 |
|
|
Số điểm |
1 |
|
|
|
|
|
|
|
1,0 |
|
|
|
Câu số |
1 |
|
|
|
|
|
|
|
|
|
|
|
2. Văn hóa và khoa học thời Hậu Lê |
Số câu |
1 |
|
|
|
|
|
|
|
1 |
|
|
Số điểm |
1 |
|
|
|
|
|
|
|
1,0 |
|
|
|
Câu số |
2 |
|
|
|
|
|
|
|
|
|
|
|
3. Trường học Thời Hậu Lê |
Số câu |
|
|
|
|
|
|
|
1 |
|
1 |
|
Số điểm |
|
|
|
|
|
|
|
1 |
|
1,0 |
|
|
Câu số |
|
|
|
|
|
|
|
5 |
|
|
|
|
4. Chiến thắng Chi Lăng |
Số câu |
|
|
1 |
|
|
|
|
|
1 |
|
|
Số điểm |
|
|
1 |
|
|
|
|
|
1,0 |
|
|
|
Câu số |
|
|
4 |
|
|
|
|
|
|
|
|
|
5. Những chính sách về kinh tế và văn hóa của của Quang Trung |
Số câu |
|
|
|
|
1 |
|
|
|
1 |
|
|
Số điểm |
|
|
|
|
1 |
|
|
|
1,0 |
|
|
|
Câu số |
|
|
|
|
3 |
|
|
|
|
|
|
|
6. Đồng bằng Nam Bộ |
Số câu |
1 |
|
|
|
|
|
|
|
1 |
|
|
Số điểm |
1 |
|
|
|
|
|
|
|
1,0 |
|
|
|
Câu số |
7 |
|
|
|
|
|
|
|
|
|
|
|
7. Thành phố Hồ Chí Minh |
Số câu |
|
|
|
|
|
1 |
|
|
|
1 |
|
Số điểm |
|
|
|
|
|
1 |
|
|
|
1,0 |
|
|
Câu số |
|
|
|
|
|
8 |
|
|
|
|
|
|
8. Vùng biển Việt Nam |
Số câu |
|
|
|
1 |
|
|
|
|
|
|
|
Số điểm |
|
|
|
1 |
|
|
|
|
|
1 |
|
|
Câu số |
|
|
|
10 |
|
|
|
|
|
1,0 |
|
|
9. Người dân và hoạt động sản xuất ở đồng bằng duyên hải miền Trung |
Số câu |
1 |
|
|
|
|
|
|
|
1 |
|
|
Số điểm |
1 |
|
|
|
|
|
|
|
1,0 |
|
|
|
Câu số |
6 |
|
|
|
|
|
|
|
|
|
|
|
10. Ôn tập |
Số câu |
|
|
1 |
|
|
|
|
|
1 |
|
|
Số điểm |
|
|
1 |
|
|
|
|
|
1,0 |
|
|
|
Câu số |
|
|
9 |
|
|
|
|
|
|
|
|
|
Tổng |
Số câu |
4 |
|
2 |
1 |
1 |
1 |
|
1 |
7 |
3 |
|
Số điểm |
4 |
|
2 |
1 |
1 |
1 |
|
1 |
7 |
3 |
|
Đề thi học kì 2 môn Khoa học lớp 4
Bảng ma trận đề thi Khoa học lớp 4 học kì 2

Phần A: Trắc nghiệm
Khoanh vào chữ cái đặt trước câu trả lời đúng.
Câu 1. Tính chất của không khí là? (M1) (1 điểm)
A. Không màu, không mùi, không vị, không có hình dạng nhất định
B. Có màu, có mùi
C. Màu trắng, vị ngọt
D. Trong suốt
Câu 2. Âm thanh không truyền qua được môi trường nào? (M2) (1 điểm)
A. Chất rắn
B. Chân không
C. Chất lỏng
D. Chất khí
Câu 3. Vật nào có thể ngăn ánh sáng truyền qua? (M2) (1 điểm)
A. Kính
B. Quyển vở, miếng gỗ
C. Túi ni lông trắng
D. Nước
Câu 4. Điều gì sẽ xẩy ra nếu trái đất không được sưởi ấm? (M1) (1 điểm)
A. Gió sẽ liên tục thổi ngừng thổi
B. Trái đất sẽ trở thành một hành tinh chết, không có sự sống.
C. Trái đất sẽ tan ra.
D. Trái đất trở nên yên bình hơn.
Câu 5. Đốt ngọn nến, lấy cốc thủy tinh chụp lên cây nến đang cháy, lúc sau nến tắt. Nguyên nhân tại sao? (M3) (1 điểm)
A. Thiếu ánh sáng
B. Thiếu nước
C. Thiếu khí các-bô-níc
D. Thiếu không khí
Câu 6: Quá trình hô hấp của cây diễn ra khi nào (M2) (1điểm)
A. Buổi sáng
B. Buổi trưa
C. Buổi chiều
D. Buổi tối
Câu 7. Điền từ thích hợp vào chỗ trống: (M1) (1điểm)
Trong quá trình quang hợp thực vật hấp thụ khí ................. và thải ra ..............
B. Tự luận
Câu 8. Điều gì sẽ xảy ra với cây xanh nếu không có ánh sáng? (M1) (1 điểm)
........................................................................................
Câu 9. Thực vật cần gì để sống? (M3) (1 điểm)
.......................................................................................
Câu 10. Vẽ sơ đồ chuỗi thức ăn từ các loài vật sau: (M4) (1 điểm)
Ngô, rắn, vi khuẩn, chuột
.........................................................................................................................................
Ma trận đề thi học kì 2 môn Tin học lớp 4
|
Mạch kiến thức, kĩ năng |
Số câu và số điểm |
Mức 1 |
Mức 2 |
Mức 3 |
Mức 4 |
Tổng điểm và tỉ lệ % |
|||||
|
TN |
TL/ TH |
TN |
TL/ TH |
TN |
TL/ TH |
TN |
TL/ TH |
Tổng |
TL |
||
|
1. Phần mềm học tập: Trò chơi thể thao golff |
Số câu |
1 |
|
1 |
|
|
|
|
|
2 |
|
|
|
Số điểm |
0,5 |
|
0,5 |
|
|
|
|
|
1.0 |
10% |
|
2. STVB: Căn lề, cỡ chữ và phông chữ |
Số câu |
1 |
|
1 |
|
|
|
|
|
2 |
|
|
|
Số điểm |
0,5 |
|
0,5 |
|
|
|
|
|
1.0 |
10% |
|
3. STVB: Sao chép và trình bày chữ in đậm, nghiêng |
Số câu |
|
|
1 |
|
|
|
|
1 |
2 |
|
|
|
Số điểm |
|
|
0,5 |
|
|
|
|
3.0 |
3,5 |
35% |
|
4. Lập trình logo: Điều khiển tuần tự |
Số câu |
1 |
|
|
|
|
1 |
|
|
2 |
2 |
|
|
Số điểm |
0,5 |
|
|
|
|
3.0 |
|
|
3,5 |
10% |
|
5. Lập trình logo: Điều khiển lặp |
Số câu |
1 |
|
1 |
|
|
|
|
|
2 |
|
|
Số điểm |
0,5 |
|
O,5 |
|
|
|
|
|
1 |
35% |
|
|
Tổng |
Số câu |
4 |
0 |
4 |
0 |
0 |
1 |
0 |
1 |
10 |
|
|
Số điểm |
2.0 |
- |
2.0 |
- |
- |
30% |
- |
3.0 |
10.0 |
100% |
|
|
Tỉ lệ% |
20% |
0% |
20% |
0% |
0% |
30% |
0% |
30% |
100% |
|
|
|
|
Tỉ lệ |
20% |
20% |
30% |
30% |
|
|
||||
|
Theo mức |
|||||||||||
Ma trận phân bố câu hỏi
|
Chủ đề |
|
Mức 1 |
Mức 2 |
Mức 3 |
Mức 4 |
Cộng |
|
1. PMHT: Trò chơi thể thao golff |
Số câu |
1 |
1 |
|
|
2 |
|
|
Câu số |
A.1 |
A.2 |
|
|
|
|
2. STVB: Căn lề, cỡ chữ và phông chữ |
Số câu |
1 |
1 |
|
|
2 |
|
|
Câu số |
A.3 |
A.4 |
|
|
|
|
3. STVB: Sao chép và trình bày chữ in đậm, nghiêng |
Số câu |
|
1 |
|
1 |
2 |
|
|
Câu số |
|
A.5 |
|
B.2 |
|
|
4. Lập trình logo: Điều khiển tuần tự |
Số câu |
1 |
|
1 |
|
2 |
|
|
Câu số |
A.6 |
|
B.1 |
|
|
|
5. Lập trình logo: Điều khiển lặp |
Số câu |
1 |
1 |
|
|
2 |
|
|
Câu số |
A.7 |
A.8 |
|
|
|
|
Tổng số câu |
|
4 |
4 |
1 |
1 |
10 |
Đề thi học kì 2 môn Tin lớp 4
|
Trường Tiểu học:………………………….. Họ và tên:……………………....................... Lớp…………………………………………..
|
Kiểm tra cuối HKII Năm học: 2016-2017 Môn: Tin học – Lớp 4 Thời gian: 40 phút |
A. TRẮC NGHIỆM: (15 phút) - 4 điểm


B. THỰC HÀNH: (25 phút) - 6 điểm.
B.1 (3 điểm) (Mức 3)
Viết câu lệnh để rùa vẽ hình sau:

B.2 (3 điểm) (Mức 4)
Em hãy soạn thảo bài thơ sau.
TIẾNG HÁT NGƯỜI LÀM GẠCH
Đất im lặng dưới chân ta
Mà nghe có tiếng phố, nhà vang âm,
Lắng nghe có tiếng hát thầm... đất ơi!
Hòn đất là hòn đất rời
Thành vuông gạch dẻo – tay người nhào nên.
Hòn đất là hòn đất mềm
Qua nghìn độ lửa – chắc bền dài lâu
Yêu cầu:
- Phông chữ Time New Roman, cỡ chữ 14.
ĐÁP ÁN VÀ THANG ĐIỂM CHẤM MÔN TIN HỌC LỚP 4
A. TRẮC NGHIỆM: (15 phút)
|
A.1 |
A.2 |
A.3 |
A.4 |
A.5 |
A.6 |
A.7 |
A.8 |
|
D |
C |
C |
A |
D |
B |
B |
B |
B. THỰC HÀNH: (25 phút) - 6 điểm.
B.1 (3 điểm) (Mức 3)
Viết đúng câu lệnh để rùa vẽ được hình chữ nhật
Repeat 2 [FD 50 RT 60]
B.2 (3 điểm) (Mức 4)
Gõ đúng và trình bày đúng chữ in đậm, in nghiêng và gạch chân
Tham khảo các đề thi học kì 2 lớp 4 khác
Ma trận đề thi học kì 2 lớp 4 theo Thông tư 22
Đề thi học kì 2 môn Tiếng Việt lớp 4 có bảng ma trận đề thi theo Thông tư 22
Đề thi học kì 2 môn Khoa học lớp 4 có bảng ma trận đề thi theo Thông tư 22