Đề thi giữa học kì 1 lớp 9 môn Toán trường THCS Hòa Bình năm học 2017 - 2018
Đề kiểm tra giữa học kì 1 lớp 9 môn Toán có đáp án
Lớp:
Lớp 9
Môn:
Toán
Dạng tài liệu:
Đề thi
Loại:
Tài liệu Lẻ
Thời gian:
Học kì 1
Loại File:
Word + PDF
Phân loại:
Tài liệu Tính phí
Đề thi giữa học kì 1 lớp 9 môn Toán trường THCS Hòa Bình năm học 2017 - 2018
Đề thi giữa học kì 1 lớp 9 môn Toán trường THCS Hòa Bình năm học 2017 - 2018 là đề tham khảo dành cho các bạn học sinh và thầy cô nghiên cứu, học tập tốt môn Toán lớp 9 cũng như luyện tập nhằm chuẩn bị tốt nhất cho các kì thi sắp diễn ra. Mời các bạn tham khảo.
Bộ đề kiểm tra giữa học kì 1 môn Toán lớp 9 năm 2017
Đề thi học kì 1 môn Toán lớp 9 năm học 2016 - 2017
Đề thi giữa học kì 1 môn Toán lớp 9 trường THCS Sơn Động năm 2016 - 2017

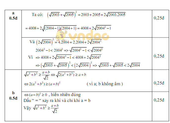
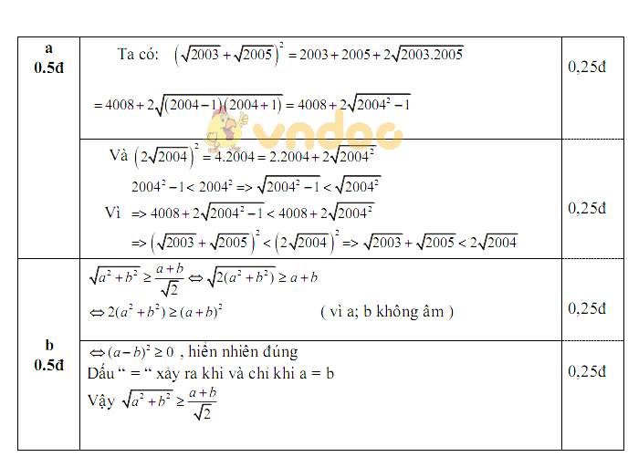
Đáp án đề thi giữa học kì 1 lớp 9 môn Toán trường THCS Hòa Bình năm học 2017 - 2018




Mời các bạn tham khảo tài liệu sau: Toán lớp 9, Giải bài tập Toán lớp 9, Tài liệu học tập lớp 9