Đề thi giữa học kì 2 môn Hóa học lớp 11 trường THPT Đào Duy Từ, Thanh Hóa
Đề thi giữa học kì 2 môn Hóa học lớp 11
Đề thi giữa học kì 2 môn Hóa học lớp 11 trường THPT Đào Duy Từ, Thanh Hóa năm học 2014 - 2015 là tài liệu luyện thi giữa học kỳ 2 lớp 11 rất hiệu quả. Đây cũng là tài liệu tham khảo môn Hóa học giúp các bạn học sinh lớp 11 ôn tập lại kiến thức, giúp các bạn đạt điểm cao trong bài thi giữa kì, thi cuối năm. Mời các bạn tham khảo.
|
SỞ GD & ĐT THANH HÓA TRƯỜNG THPT ĐÀO DUY TỪ
|
ĐỀ KIỂM TRA GIỮA KỲ II, NĂM HỌC: 2014-2015 Môn: Hóa Học, Khối: 11 Thời gian làm bài: 45 phút (Không kể thời gian phát đề) |
Câu I: (3,5 điểm) Viết công thức các đồng phân cấu tạo và gọi tên theo danh pháp hệ thống (IUPAC) của những chất ứng với mỗi công thức phân tử sau: C4H8 và C3H7Cl.
Câu II: (3,0 điểm) Viết phương trình hóa học của phản ứng xảy ra theo các sơ đồ sau:
a. CH3-CH2-CH2-CH3 + Cl2
\(\overset{as, 1:1}{\rightarrow}\) 2 sản phẩm
b. CH2=CH-CH3 + HBr
\(\overset{H+}{\rightarrow}\) 2 sản phẩm
c. CH≡CH + H2O
\(\overset{Hg^{2+} , 80^{o} C}{\rightarrow}\)
d. CH3-CH2-CH3
\(\overset{cracking}{\rightarrow}\)
e. CH2=CH2
\(\overset{trùng hợp}{\rightarrow}\)
f. CH≡C-CH3 + AgNO3
\(\overset{NH_{3} }{\rightarrow}\)
Câu III: (1,0 điểm) Bằng phương pháp hóa học hãy nhận biết các chất khí riêng biệt sau: C2H6, C2H4 và C2H2.
Câu IV: (2,5 điểm) Đốt cháy hoàn toàn 2,24 lít (đktc) một ankan A, sau phản ứng thu được 20,4 gam hỗn hợp sản phẩm khí và hơi.
a. Xác định công thức phân tử của A.
b. Hỗn hợp khí Z gồm ankan A và một hiđrocacbon B. Lấy 2,24 lít hỗn hợp Z rồi dẫn từ từ cho đến hết vào một lượng dư dung dịch AgNO3 trong NH3 thấy xuất hiện m gam kết tủa. Mặt khác, nếu đốt cháy hoàn toàn 2,24 lít hỗn hợp Z thì thu được 5,824 lít khí CO2. Các thể tích khí đều đo ở đktc. Tính m.
c. Viết phương trình điều chế hiđrocacbon B từ ankan A.
Cho biết: H = 1, C = 12, O = 16, N = 14, Br = 80, Ag = 108.
Đáp án đề thi giữa học kì 2 môn Hóa học lớp 11
Câu I: (3,5 điểm)
C4H8: 5 đồng phân cấu tạo và gọi tên đúng 5 đồng phân.........

C3H7Cl
- 2 đồng phân cấu tạo
- Gọi tên đúng 2 đồng phân
- CH3-CH2-CH2Cl 1-clopropan
- CH3-CHCl-CH3 2-clopropan
Câu II: (3,0 điểm)
a. CH3-CH2-CH2-CH3 + Cl2
\(\overset{as, 1:1}{\rightarrow}\) CH3CH2CH2CH2Cl + HCl
CH3-CH2-CH2-CH3 + Cl2 → CH3-CH2-CH-Cl-CH3 + HCl
b. CH2=CH-CH3 + HBr
\(\overset{H+}{\rightarrow}\) CH3CHBrCH3
c. CH≡CH + H2O
\(\overset{Hg^{2+} , 80^{o} C}{\rightarrow}\) CH3CHO
d. CH3-CH2-CH3
\(\overset{cracking}{\rightarrow}\) CH4 + C2H4
e. nCH2=CH2
\(\overset{trùng hợp}{\rightarrow}\) (-CH2-CH2-)n
f. CH≡C-CH3 + AgNO3
\(\overset{NH_{3} }{\rightarrow}\)CAg ≡ C – CH3↓ + NH4NO3
Câu III: (1,0 điểm)
- Bằng phương pháp hóa học hãy nhận biết các chất khí riêng biệt sau: C2H6, C2H4 và C2H2.
- Dung AgNO3 trong NH3 nhận ra C2H2 do tạo kết tủa màu vàng nhạt
- Viết phương trình phản ứng
- Dùng dung dịch nước Br2 nhận ra C2H4 - do làm dung dịch nước Br2 mất màu, viết phương trình phản ứng. Còn lại là C2H6
Câu IV: (2,5 điểm)
a. Gọi CT của ankan là CnH2n+2
CnH2n + 2 + O2
\(\overset{t^{\circ } }{\rightarrow}\) nCO2 + (n+1) H2O
Theo đầu bài ta có: mCO2 + mH2O = 20,4
n = 3
Vậy CTPT của X là C3H8.
b. Vì hỗn hợp Z tác dụng với dung dịch AgNO3/NH3 thu được kết tủa hiđrocacbon B có liên kết 3 đầu mạch.
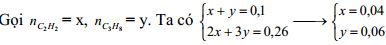
Gọi CTTB của 2 hidrocacbon A và B là ![]()
CxHy + O2 → xCO2 + y/2H2O
Theo đề bài ta có
(vì
nên hiđroccacbon B có số nguyên tử nhỏ hơn 2,6).
Vậy hiđrocacbon B là C2H2
![]()
Khối lượng kết tủa là mC2Ag2 = 9,6 gam
c. Từ C3H8 → CH4 → C2H2
Ghi chú: Học sinh giải theo cách khác đúng vẫn được đủ số điểm.
.......................................
Trên đây VnDoc.com đã giới thiệu tới bạn đọc tài liệu: Đề thi giữa học kì 2 môn Hóa học lớp 11 trường THPT Đào Duy Từ, Thanh Hóa. Để có kết quả cao hơn trong học tập, VnDoc xin giới thiệu tới các bạn học sinh tài liệu Hóa học lớp 10, Giải bài tập Hóa học lớp 11, Thi thpt Quốc gia môn Văn, Thi thpt Quốc gia môn Lịch sử, Thi thpt Quốc gia môn Địa lý, Thi thpt Quốc gia môn Toán, đề thi học kì 1 lớp 11, đề thi học kì 2 lớp 11 mà VnDoc tổng hợp và đăng tải.
Để tiện trao đổi, chia sẻ kinh nghiệm giảng dạy và học tập môn học THPT, VnDoc mời các bạn truy cập nhóm riêng dành cho lớp 11 sau: Nhóm Tài liệu học tập lớp 11 để có thể cập nhật được những tài liệu mới nhất.