Đề thi giữa học kì 2 môn Toán lớp 8 trường THCS Yên Mỹ, Ninh Bình năm học 2016 - 2017
Đề thi giữa học kì 2 môn Toán lớp 8
Để củng cố lại chương 4 trong chương trình Toán đại số, đề kiểm tra mà VnDoc sưu tầm được gồm các câu hỏi liên quan đến bất phương trình bậc nhất, bất phương trình tương đương, kỹ năng biểu diễn tập nghiệm trên trục số, kỹ năng giải phương trình và tìm giá trị của ẩn số. Các em có thể tham khảo phần đáp án có kèm theo biểu điểm để tính được số điểm mình đã đạt được trong bài kiểm tra này.
Đề cương ôn tập học kì 2 môn Toán lớp 8
Đề thi Tìm kiếm tài năng Toán học trẻ lớp 8 (Có đáp án)
Đề thi học sinh giỏi môn Toán lớp 8 Phòng GD&ĐT Tiền Hải, Thái Bình năm học 2016 - 2017
| TRƯỜNG THCS YÊN MỸ, NINH BÌNH |
ĐỀ THI GIỮA HỌC KỲ 2 NĂM HỌC 2016 - 2017 MÔN: TOÁN THỜI GIAN: 45 phút |
Câu 1: Thế nào là bất phương trình bậc nhất một ẩn? Cho ví dụ minh họa.
Câu 2:
a) Thế nào là hai bất phương trình tương đương?
b) Giải thích sự tương đương sau: x – 3 > 1 <=> x + 3 > 7
Câu 3: Giải các bất phương trình và biểu diễn tập nghiệm trên trục số:
![]()
Câu 4: Giải phương trình: |x – 7| = 2x + 3
Câu 5: Tìm x sao cho:
Giá trị của biểu thức (2x + 1) không nhỏ hơn giá trị của biểu thức (x + 3).
ĐÁP ÁN ĐỀ KIỂM TRA ĐẠI SỐ CHƯƠNG 4
Câu 1: (2 điểm)
- Bất phương trình dạng ax + b < 0 (hoặc ax + b > 0, hoặc
) trong đó a và b là hai số đã cho được gọi là bất phương trình bậc nhất một ẩn (1,5 điểm) - Ví dụ: 2x - 3 < 0 (0,5 điểm)
Câu 2: (2 điểm)
a) Hai bất phương trình gọi là tương đương nếu chúng có cùng tập nghiệm (0,5 điểm)
b) Ta có: x – 3 > 1 <=> x > 4
Vậy tập nghiệm của bất phương trình là: S1 = {x / x > 4} (0,5 điểm)
Vậy tập nghiệm của bất phương trình là: S2 = {x / x > 4} (0,5 điểm)
=> x – 3 > 1 <=> x + 3 > 7 vì hai bất phương trình có cùng tập nghiệm (0,5 điểm)
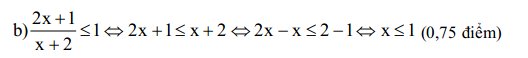
Câu 3: (3 điểm)
Vậy tập nghiệm của bất phương trình là {x / x < -4} (0,25 điểm)
(0,5 điểm)

Vậy tập nghiệm của bất phương trình là (0,25 điểm)
Câu 4: (2 điểm) Ta có: |x – 7| = 2x + 3 (1)
Câu 5: (1 điểm)