Đề thi học kì 1 môn Vật lý lớp 9 Phòng GD&ĐT Vĩnh Tường, Vĩnh Phúc năm học 2016 - 2017
Đề thi học kì 1 môn Vật lý lớp 9
Đề thi học kì 1 môn Vật lý lớp 9 Phòng GD&ĐT Vĩnh Tường, Vĩnh Phúc năm học 2016 - 2017. Đề thi bám sát kiến thức trong SGK môn Vật lý lớp 9 học kì 1. Đối với những học sinh nắm chắc kiến thức chắc chắn sẽ làm được bài thi này và đạt được điểm khá. Mời các bạn tham khảo.
Đề thi học kì 1 môn Vật lý lớp 9 trường THCS Cự Khê, Hà Nội năm học 2016 - 2017
Đề thi học kì 1 môn Vật lý lớp 9 trường THCS Kỳ Thượng, Quảng Ninh năm học 2016 - 2017
Đề thi học kì 1 môn Vật lý lớp 9 Phòng GD&ĐT Bù Đăng, Bình Phước năm học 2016 - 2017
| PHÒNG GD&ĐT VĨNH TƯỜNG | ĐỀ KIỂM TRA HỌC KỲ I NĂM HỌC 2016 - 2017 Môn: Vật lý - Lớp 9 Thời gian làm bài: 45 phút (không kể thời gian giao đề) |
I. Trắc nghiệm (2,0 điểm). Chọn đáp án đúng nhất trong các phương án trả lời sau.
Câu 1. Hệ thức nào sau đây là hệ thức của định luật ôm:
A. R = U/I B. I = U/R C. U = I.R D. I = U.I
Câu 2. Trên thanh nam châm vị trí nào hút sắt mạnh nhất?
A. Phần giữa của thanh. B. Chỉ có từ cực bắc.
C. Cả hai từ cực. D. Mọi chỗ đều hút sắt mạnh như nhau.
Câu 3. Từ trường không tồn tại ở đâu?
A. Xung quanh nam châm. B. Xung quanh dòng điện.
C. Xung quanh điện tích đứng yên. D. Xung quanh Trái Đất.
Câu 4. Hai đèn Đ1(6V - 6W), Đ2(6V - 3W) đang sáng bình thường. Tỉ số dòng điện I1 : I2 chạy qua hai dây tóc đèn trên là:
A. 4 : 1 B. 2 : 1 C. 1: 4 D. 1 : 2
I. Tự luận (8,0 điểm)
Câu 5. Giữa hai điểm A, B có hiệu điện thế không đổi U = 12 V, người ta mắc nối tiếp điện trở R1 = 25 Ω và một biến trở có điện trở lớn nhất R2 = 15 Ω.
a) Khi R2 = 15 Ω. Tính điện trở tương đương của mạch và cường độ dòng điện chạy qua mỗi điện trở khi đó.
b) Biến trở R2 là một dây dẫn đồng chất có tiết diện S = 0,06 mm2 và có điện trở suất ρ = 0,5.10-6 Ωm. Hãy tính chiều dài của dây dẫn quấn biến trở.
c) Mắc thêm một bóng đèn Đ(6V - 3W) song song với điện trở R1 trong mạch trên. Điều chỉnh biến trở để đèn sáng bình thường.Tính điện trở của biến trở khi đó.
Câu 6. Một bếp điện khi hoạt động bình thường có điện trở R = 80 Ω và cường độ dòng điện qua bếp khi đó là I = 2,5 A.
a) Tính công suất tỏa nhiệt của bếp.
b) Dùng bếp điện trên để đun sôi 1,5l nước có nhiệt độ ban đầu 250C thì thời gian đun nước là 20 phút. Coi rằng nhiệt lượng cung cấp để đun sôi nước là có ích. Tính hiệu suất của bếp. Cho biết nhiệt dung riêng của nước là c = 4200J/kg.K
Câu 7.
a) Phát biểu qui tắc nắm tay phải?
b) Treo một kim nam châm gần ống dây (hình bên). Hiện tượng gì sẽ xảy ra với kim nam châm khi ta đóng khoá K?

ĐÁP ÁN ĐỀ THI HỌC KÌ 1 MÔN VẬT LÝ LỚP 9
I. Trắc nghiệm (2,0 điểm). Mỗi câu trả lời đúng được 0,5 điểm
|
Câu |
1 |
2 |
3 |
4 |
|
Đáp án |
B |
C |
C |
B |
II. Tự luận (8,0 điểm).
Câu 5 (3,0 điểm)
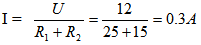
a. Điện trở tương đương của mạch là: Rtd = R1 + R2 = 40 Ω
Cường độ dòng điện qua mỗi điện trở là: ![]()
b. Đổi S = 0,06 mm2 = 0,06.10-6 m2
Công thức tính điện trở: ![]()
Thay số vào: l = (15.0,06.10-6)/0,5.10-6 = 9/5 = 1,8 m.
c. Cường độ dòng điện định mức của đèn: Idm = P/U = 3/6 = 0,5A
Vì đèn sáng bình thường nên hiệu điện thế giữa hai đầu R1 là 6V
Vậy hiệu điện thế hai đầu biến trở là: Ub = U - Ud = 12 - 6 = 6V
Cường điện dòng điện chạy qua R1 là: I1 = 6/25 = 0,24A
Cường điện dòng điện chạy qua biến trở là: Ib = I1 + Idm = 0,74 A
Vậy điện trở biến trở khi đó là: Rb = Ub/Ib = 6/0,74 = 8,12 Ω
Câu 6 (3,0 điểm)
Đổi 1,5 l = 1,5.10-3 m3 => m = D.V = 1000.1,5.10-3 = 1,5 kg
Đổi 20 phút = 1200 giây
a) Công suất tỏa nhiệt của bếp là: P = I2.R = 2,52.80 = 500 (W)
b) Nhiệt lượng thu vào của nước từ 250 C đến 1000 C là:
Q1 = m.c.(t02 - t01) = 1,5.4200.(100 - 25) = 472500 (J)
Nhiệt lượng mà bếp tỏa ra trong 20 phút là:
Qtp = I2R.t = 2,52.80.1200 = 600000 (J)
Hiệu suất của bếp là: ![]()