Đề thi học sinh giỏi cấp THPT tỉnh Lâm Đồng môn Toán
SỞ GIÁO DỤC & ĐÀO TẠO
|
KÌ THI CHỌN HỌC SINH GIỎI CẤP TỈNH
|
Câu 1: (3,0 điểm)
Cho hàm số y = x3 - 3x2 + mx (1). Tìm tất cả các giá trị của để hàm số (1) có cực đại, cực tiểu và các điểm cực đại, cực tiểu của đồ thị hàm số (1) đối xứng nhau qua đường thẳng (d): x + 2y - 9 = 0.
Câu 2: (3,0 điểm)
Tính tích phân: 
Câu 3: (2,0 điểm)
Cho P(x) = (1 + 4x + 3x2)10. Xác định hệ số x3 trong khai triển P(x) theo lũy thừa của x.
Câu 4: (3,0 điểm)
1. Trong mặt phẳng tọa độ Oxy, cho tam giác có tâm đường tròn ngoại tiếp là điểm I(4; 0) và phương trình hai đường thẳng lần lượt chứa đường cao và đường trung tuyến xuất phát từ đỉnh A của tam giác là (d1): x + y - 2 = 0 và (d2): x + 2y - 3 = 0. Viết phương trình các đường thẳng chứa cạnh của tam giác ABC.
2. Cho là tâm của đường tròn nội tiếp tam giác ABC có AB = c, BC = a, CA = b. Chứng minh rằng: ![]()
Câu 5: (3,0 điểm)
1. Giải phương trình: 2sin2x + cos2x + 2 = √2(sin2x.cosx + sinx + 2cosx)
2. Cho x, y, z thuộc [0; 1]. Chứng minh rằng: ![]()
Câu 6: (3,0 điểm)
Cho hình chóp tứ giác đều S.ABCD mà khoảng cách từ A đến mặt phẳng (SBC) bằng b. Góc giữa mặt bên và mặt đáy hình chóp bẳng α. Tìm α để thể tích của khối chóp S.ABCD nhỏ nhất. Tìm giá trị nhỏ nhất đó.
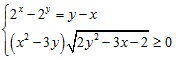
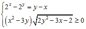
Câu 7: (3,0 điểm)
Giải hệ: 