Giao diện mới của VnDoc Pro: Dễ sử dụng hơn - chỉ tập trung vào lớp bạn quan tâm. Vui lòng chọn lớp mà bạn quan tâm: Lưu và trải nghiệm
Đóng
Điểm danh hàng ngày
  • Hôm nay +3
  • Ngày 2 +3
  • Ngày 3 +3
  • Ngày 4 +3
  • Ngày 5 +3
  • Ngày 6 +3
  • Ngày 7 +5
Bạn đã điểm danh Hôm nay và nhận 3 điểm!
Nhắn tin Zalo VNDOC để nhận tư vấn mua gói Thành viên hoặc tải tài liệu Hotline hỗ trợ: 0936 120 169

Đề thi thử đại học năm 2014 trường THPT chuyên ĐH Vinh

Loại File: ZIP
Phân loại: Tài liệu Tính phí

Đề thi thử đại học khối A, A1, B, D

TRƯỜNG ĐẠI HỌC VINH
TRƯỜNG THPT CHUYÊN

ĐỀ KHẢO SÁT CHẤT LƯỢNG LỚP 12, LẦN 1 NĂM 2014
Môn: TOÁN; Khối: A và A1; Thời gian làm bài: 180 phút


I. PHẦN CHUNG CHO TẤT CẢ CÁC THÍ SINH (7,0 điểm)

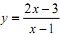
Câu 1 (2,0 điểm). Cho hàm số Đề thi thử đại học năm 2014 trường THPT chuyên ĐH Vinh

a) Khảo sát sự biến thiên và vẽ đồ thị (H) của hàm số đã cho.

b) Tìm m để đường thẳng d: x + 3y + m = 0 cắt (H) tại hai điểm M, N sao cho tam giác AMN vuông tại điểm A(1; 0).

Câu 2 (1,0 điểm).

Giải phương trình: sin3x + 2cos2x = 3 + 4sinx + cosx(1 + sinx).

Câu 3 (1,0 điểm).

Giải bất phương trình: Đề thi thử đại học năm 2014 trường THPT chuyên ĐH Vinh

Câu 4 (1,0 điểm).

Tính tích phân Đề thi thử đại học năm 2014 trường THPT chuyên ĐH Vinh

Câu 5 (1,0 điểm).

Cho hình chóp S.ABCD có đáy ABCD là hình chữ nhật, mặt bên SAD là tam giác vuông tại S, hình chiếu vuông góc của S lên mặt phẳng (ABCD) là điểm H thuộc cạnh AD sao cho HA = 3HD. Gọi M là trung điểm của AB. Biết rằng SA = 2√3.a và đường thẳng SC tạo với đáy một góc 30o. Tính theo a thể tích khối chóp S.ABCD và khoảng cách từ M đến mặt phẳng (SBC).

Câu 6 (1,0 điểm).

Giả sử x, y, z là các số thực không âm thỏa mãn 5(x2 + y2 + z2) = 6(xy + yz + zx). Tìm giá trị lớn nhất của biểu thức:

Đề thi thử đại học năm 2014 trường THPT chuyên ĐH Vinh

II. PHẦN RIÊNG (3,0 điểm) Thí sinh chỉ được làm một trong hai phần (phần a hoặc phần b)

a. Theo chương trình Chuẩn

Câu 7.a (1,0 điểm). Trong mặt phẳng với hệ tọa độ Oxy, cho tam giác ABC có M(2; 1) là trung điểm cạnh AC, điểm H(0; -3) là chân đường cao kẻ từ A, điểm E(23; -2) thuộc đường thẳng chứa trung tuyến kẻ từ C. Tìm tọa độ điểm B biết điểm A thuộc đường thẳng d: 2x + 3y - 5 = 0 và điểmC có hoành độ dương.

Câu 8.a (1,0 điểm). Trong không gian với hệ tọa độ Oxyz, cho đường thẳng Đề thi thử đại học năm 2014 trường THPT chuyên ĐH Vinh và hai mặt phẳng (P): x + 2y + 2z + 3 = 0, (Q): x - 2y - 2z - 7 = 0. Viết phương trình mặt cầu có tâm thuộc d, đồng thời tiếp xúc với hai mặt phẳng (P) và (Q).

Câu 9.a (1,0 điểm). Cho tập hợp E = {1, 2, 3, 4, 5}. Gọi M là tập hợp tất cả các số tự nhiên có ít nhất 3 chữ số, các chữ số đôi một khác nhau thuộc E. Lấy ngẫu nhiên một số thuộc M. Tính xác suất để tổng các chữ số của số đó bằng 10.

b. Theo chương trình Nâng cao

Câu 7.b (1,0 điểm). Trong mặt phẳng với hệ tọa độ, Oxy cho hai điểm A(1; 2), B(4; 1) và đường thẳng Δ: 3x - 4y + 5 = 0. Viết phương trình đường tròn đi qua A, B và cắt Δ tại C, D sao cho CD = 6.

Câu 8.b (1,0 điểm). Trong không gian với hệ tọa độ Oxyz, cho điểm M(1; 1; 0) và hai đường thẳng Đề thi thử đại học năm 2014 trường THPT chuyên ĐH Vinh. Viết phương trình mặt phẳng (P) song song với d1 và d2 đồng thời cách M một khoảng bằng √6.

Câu 9.b (1,0 điểm). Tìm số nguyên dương n thỏa mãn:

Đề thi thử đại học năm 2014 trường THPT chuyên ĐH Vinh

Chọn file muốn tải về:
Đóng Chỉ thành viên VnDoc PRO/PROPLUS tải được nội dung này!
Đóng
79.000 / tháng
Đặc quyền các gói Thành viên
PRO
Phổ biến nhất
PRO+
Tải tài liệu Cao cấp 1 Lớp
30 lượt tải tài liệu
Xem nội dung bài viết
Trải nghiệm Không quảng cáo
Làm bài trắc nghiệm không giới hạn
Mua cả năm Tiết kiệm tới 48%
Xác thực tài khoản!

Theo Nghị định 147/2024/ND-CP, bạn cần xác thực tài khoản trước khi sử dụng tính năng này. Chúng tôi sẽ gửi mã xác thực qua SMS hoặc Zalo tới số điện thoại mà bạn nhập dưới đây:

Số điện thoại chưa đúng định dạng!
Số điện thoại này đã được xác thực!
Bạn có thể dùng Sđt này đăng nhập tại đây!
Lỗi gửi SMS, liên hệ Admin
Sắp xếp theo
🖼️

Thi THPT Quốc gia môn Toán

Xem thêm
🖼️

Gợi ý cho bạn

Xem thêm