Giao diện mới của VnDoc Pro: Dễ sử dụng hơn - chỉ tập trung vào lớp bạn quan tâm. Vui lòng chọn lớp mà bạn quan tâm: Lưu và trải nghiệm
Đóng
Điểm danh hàng ngày
  • Hôm nay +3
  • Ngày 2 +3
  • Ngày 3 +3
  • Ngày 4 +3
  • Ngày 5 +3
  • Ngày 6 +3
  • Ngày 7 +5
Bạn đã điểm danh Hôm nay và nhận 3 điểm!
Nhắn tin Zalo VNDOC để nhận tư vấn mua gói Thành viên hoặc tải tài liệu Hotline hỗ trợ: 0936 120 169

Đề thi thử học sinh giỏi tỉnh Long An lớp 9 môn Toán - Đề 1

Lớp: Lớp 9
Dạng tài liệu: Đề thi HSG
Loại File: Word
Phân loại: Tài liệu Tính phí

SỞ GIÁO DỤC VÀ ĐÀO TẠO
LONG AN

(Đề thi thử) - Đề 1

KỲ THI CHỌN HỌC SINH GIỎI LỚP 9 CẤP TỈNH
Môn thi: TOÁN

(Thời gian làm bài 150 phút không kể thời gian giao đề)

Câu 1: (4 điểm)

1.1/ So sánh: Đề thi thử học sinh giỏi lớp 9 môn Toán

2.2/ Tìm giá trị nhỏ nhất của Đề thi thử học sinh giỏi lớp 9 môn Toán

Câu 2: (5 điểm)

2.1/ (2điểm) Giải phương trình: |x - 1| + 3|x - 4| = 7 với 1< x < 4

2.2/ (3điểm) Cho hàm số y = x2 có đồ thị (P) và hai điểm A, B thuộc (P) có hoành độ lần lượt là -1 và 2.

a/ Viết phương trình đường thẳng AB.

b/ Tìm tọa độ điểm M thuộc cung AB của đồ thị (P) sao cho tam giác MAB có diện tích lớn nhất.

Câu 3: (5 điểm)

Cho đường tròn (O; R) và dây cung BC với =1200. Các tiếp tuyến vẽ tại B và C với đường tròn cắt nhau tại A.Gọi M là một điểm tùy ý trên cung nhỏ BC (M khác B và C). Tiếp tuyến tại M với đường tròn (O) cắt AB tại E và cắt AC tại F.

a/ Tính chu vi tam giác AEF theo R

b/ Gọi I và K tương ứng là giao điểm của BC với OE và OF. Chứng minh tứ giác OIFC nội tiếp và các đường thẳng OM, EK, FI cùng đi qua một điểm.

c/ Chứng minh: EF = 2IK

Câu 4: (3 điểm)

4.1/ Cho đường tròn tâm O, đường kính AB, M là điểm di động trên đường tròn, vẽ MH vuông góc AB tại H. Tìm vị trí của điểm M trên đường tròn O sao cho diện tích tam giác OMH lớn nhất.

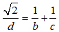
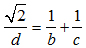
4.2/ Cho tam giác ABC vuông tại A có AB = c, AC = b và đường phân giác trong góc A là AD=d.
Chứng minh:

Câu 5: (3 điểm)

Kim đồng hồ chỉ 6 giờ. Hỏi sau bao lâu kim phút và kim giờ lại gặp nhau?

Chọn file muốn tải về:
Đóng Chỉ thành viên VnDoc PRO/PROPLUS tải được nội dung này!
Đóng
79.000 / tháng
Đặc quyền các gói Thành viên
PRO
Phổ biến nhất
PRO+
Tải tài liệu Cao cấp 1 Lớp
30 lượt tải tài liệu
Xem nội dung bài viết
Trải nghiệm Không quảng cáo
Làm bài trắc nghiệm không giới hạn
Mua cả năm Tiết kiệm tới 48%

Có thể bạn quan tâm

Xác thực tài khoản!

Theo Nghị định 147/2024/ND-CP, bạn cần xác thực tài khoản trước khi sử dụng tính năng này. Chúng tôi sẽ gửi mã xác thực qua SMS hoặc Zalo tới số điện thoại mà bạn nhập dưới đây:

Số điện thoại chưa đúng định dạng!
Số điện thoại này đã được xác thực!
Bạn có thể dùng Sđt này đăng nhập tại đây!
Lỗi gửi SMS, liên hệ Admin
Sắp xếp theo
🖼️

Thi học sinh giỏi lớp 9

Xem thêm
🖼️

Gợi ý cho bạn

Xem thêm