Đề thi thử THPT Quốc gia môn Toán năm 2015 Cụm chuyên môn 11, Quảng Nam
Đề thi thử THPT Quốc gia môn Toán có đáp án
Đề thi thử THPT Quốc gia môn Toán năm 2015 Cụm chuyên môn 11, Quảng Nam được VnDoc.com sưu tầm và đăng tải, là tài liệu ôn tập môn Toán hữu ích dành cho các bạn học sinh lớp 12, những bạn chuẩn bị bước vào kì thi THPT Quốc gia 2016, luyện thi Đại học, Cao đẳng khối A, khối B, khối D. Mời các bạn tham khảo.
Tuyển tập Bộ 3 câu phân loại trong các đề thi thử THPT Quốc gia 2015 môn Toán
260 bài toán phương trình và hệ phương trình trong ôn thi đại học
|
SỞ GIÁO DỤC VÀ ĐÀO TẠO QUẢNG NAM CỤM CHUYÊN MÔN 11 ĐỀ CHÍNH THỨC |
KỲ THI THỬ THPT QUỐC GIA NĂM 2015Môn: TOÁN Thời gian làm bài: 180 phút; Không kể thời gian giao đề |
Câu 1: (2,0 điểm) Cho hàm số y = x3 + 2mx2 + (m + 3)x + 4 (Cm)
a) Khảo sát sự biến thiên và vẽ đồ thị (C) của hàm số khi m = 0.
b) Cho điểm I (1;3). Tìm m để đường thẳng d: y = x + 4 cắt (Cm) tại 3 điểm phân biệt
A (0;4), B, C sao cho tam giác IBC có diện tích bằng 4.
Câu 2: (1,0 điểm) Giải các phương trình sau:
a) 4Sinx + Cosx = 2 + Sin2x
b) log2 (x - 3) + log2 (x - 1) = 3
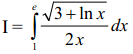
Câu 3: (1,0 điểm) Tính tích phân:

Câu 4: (1,0 điểm)
a) Một tổ 11 người gồm 5 nam và 6 nữ,chọn ngẫu nhiên 5 người tham gia lao động.
Tính xác suất để 5 người được chọn ra có đúng 3 nữ.
b) Tính mô đun của số phức sau: z = (2 - i)2 - (1 + 2i).
Câu 6: (1,0 điểm)

a) Tính theo a thể tích khối chóp S.ABCD
b) Khoảng cách từ B đến mặt phẳng (SAC).
Câu 7: (1,0 điểm)
Trong mặt phẳng tọa độ Oxy,cho hình chữ nhật ABCD có phương trình đường thẳng:
AB: x – 2y + 1 = 0, phương trình đường thẳng BD: x - 7y + 14 = 0. Viết phương trình tổng quát của đường thẳng AC, biết đường thẳng AC đi qua điểm M (2;1).
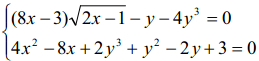
Câu 8: (1,0 điểm) Giải hệ phương trình:

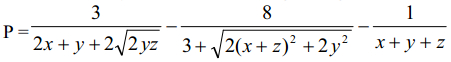
Câu 9: (1,0 điểm) Cho x, y, z là 3 số thực dương. Tìm giá trị nhỏ nhất của biểu thức:

Đáp án đề thi thử THPT Quốc gia môn Toán
Câu 1 (2,0 điểm)
a) Khi m = 0 ta có: y = x3 + 3x + 4
* Tập xác định: D = R
* Sự biến thiên:
Chiều biến thiên: y'= 3x2 + 3; y' > 0, ∀ x ∈ R
Hàm số đồng biến trên R và hàm số không có cực trị.
Giới hạn: lim y = -∞; lim y = +∞
x→-∞ x→+∞
Bảng biến thiên:

Đồ thị


(Còn tiếp)