Đề thi thử THPT Quốc gia môn Toán năm 2016 trường THPT Lam Kinh, Thanh Hóa (Lần 1)
Đề thi thử THPT Quốc gia năm 2016 môn Toán
Đề thi thử THPT Quốc gia môn Toán năm 2016 trường THPT Lam Kinh, Thanh Hóa (Lần 1) có đáp án được VnDoc.com sưu tầm và đăng tải, giúp các bạn học sinh ôn tập và chuẩn bị tốt cho kỳ thi THPT Quốc gia sắp tới. Mời các bạn tham khảo.
Đề cương ôn thi THPT Quốc gia năm 2016 môn Toán
Đề thi thử THPT Quốc gia môn Toán năm 2016 trường THPT Lý Tự Trọng, Nam Định (Lần 1)
|
TRƯỜNG THPT LAM KINH
|
ĐỀ THI THỬ THPT QUỐC GIA LẦN 1 MÔN: TOÁN. NĂM HỌC 2015 - 2016 Thời gian:180 phút (không kể thời gian phát đề) |
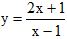
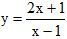
Câu 1 (2 điểm). Cho hàm số ![]()
a. Khảo sát và vẽ đồ thị (C) của hàm số.
b. Tìm điểm M trên (C) để khoảng cách từ M đến tiệm cận đứng của đồ thị (C) bằng khoảng cách từ M đến trục Ox.
Câu 2 (1 điểm).
a. Giải phương trình: √3sin2x - cos2x = 4sinx - 1.
b. Giải bất phương trình: 2log3(x - 1) + log√3(2x - 1) ≤ 2.
Câu 3 (0.5 điểm). Tính nguyên hàm sau: ![]()
Câu 4 (1.5 điểm).
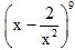
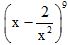
a. Tìm số hạng chứa x3 trong khai triển của
.
b. Một ngân hàng đề thi gồm 20 câu hỏi. Mỗi đề thi gồm 4 câu được lấy ngẫu nhiên từ 20 câu hỏi trên. Thí sinh A đã học thuộc 10 câu trong ngân hàng đề thi. Tìm xác suất để thí sinh A rút ngẫu nhiên được 1 đề thi có ít nhất 2 câu đã thuộc.
Câu 5 (1 điểm). Cho hình chóp S.ABCD có đáy ABCD là hình vuông cạnh a. Gọi I là trung điểm AB, H là giao điểm của BD với IC. Các mặt phẳng (SBD) và (SIC) cùng vuông góc với đáy. Góc giữa (SAB) và (ABCD) bằng 60o. Tính thể tích khối chóp S.ABCD và khoảng cách giữa hai đường thẳng SA và IC.
Câu 6 (1 điểm). Trong mặt phẳng tọa độ Oxy, cho tam giác ABC vuông tại B, BC = 2BA. Gọi E, F lần lượt là trung điểm của BC, AC. Trên tia đối của tia FE lấy điểm M sao cho FM = 3FE. Biết điểm M có tọa độ (5; -1), đường thẳng AC có phương trình 2x + y - 3 = 0, điểm A có hoành độ là số nguyên. Xác định tọa độ các đỉnh của tam giác ABC.
Câu 7 (1 điểm). Cho hình lăng trụ tam giác đều ABC.A'B'C' có tất cà các cạnh đều bằng a .Tính thể tích của hình lăng trụ và diện tích của mặt cầu ngoại tiếp hình lăng trụ theo a.
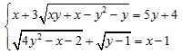
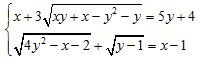
Câu 8 (1 điểm). Giải hệ phương trình 
Câu 9 (1 điểm). Cho là độ dài ba cạnh của một tam giác thỏa mãn Tìm giá trị nhỏ nhất của biểu thức
![]()
Đáp án đề thi thử THPT Quốc gia năm 2016 môn Toán




