Đề thi thử THPT Quốc gia môn Toán năm 2016 trường THPT Xuân Trường, Nam Định (Lần 2)
Đề thi thử THPT Quốc gia môn Toán năm 2016
Đề thi thử THPT Quốc gia môn Toán năm 2016 trường THPT Xuân Trường, Nam Định (Lần 2) gồm 10 câu hỏi có đáp án đi kèm, là tài liệu ôn tập môn Toán kì thi THPT Quốc gia hữu ích dành cho các bạn học sinh lớp 12, chuẩn bị bước vào kì thi THPT Quốc gia, xét tuyển vào Đại học, Cao đẳng 2016 khối A, khối B, khối D hiệu quả.
Đề thi thử THPT Quốc gia môn Toán lần 1 năm 2016 trường THPT Xuân Trường, Nam Định
Đề thi thử THPT Quốc gia môn Toán năm 2016 trường THPT Chuyên Hưng Yên (Lần 1)
|
SỞ GIÁO DỤC VÀ ĐÀO TẠO NAM ĐỊNH TRƯỜNG THPT XUÂN TRƯỜNG
ĐỀ CHÍNH THỨC |
ĐỀ THI THỬ TRUNG HỌC PHỔ THÔNG QUỐC GIA-LẦN 2 NĂM HỌC: 2015-2016 Môn: TOÁN Thời gian làm bài: 180 phút, không kể thời gian phát đề |
Câu 1 (1,0 điểm). Khảo sát sự biến thiên và vẽ đồ thị của hàm số y = -x3 + 3x + 1.
Câu 2 (1,0 điểm). Tìm m để hàm số y = x4 - 2(m + 1)x2 - 2m - 1 đạt cực đại tại x = 1.
Câu 3 (1,0 điểm).
a) Cho z1, z2 là hai nghiệm phức của phương trình 2z2 - 2z + 5 = 0. Tính
.
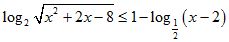
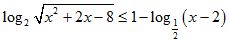
b) Giải bất phương trình:
.
Câu 4 (1,0 điểm). Tính tích phân
.
Câu 5 (1,0 điểm). Trong không gian với hệ tọa độ Oxyz, cho điểm A(1; 3; 2), đường thẳng
và mặt phẳng (P): 2x + 2y + z - 6 = 0. Tìm tọa độ giao điểm của d với (P) và viết phương trình mặt cầu (S) đi qua A, có tâm thuộc d đồng thời tiếp xúc với (P).
Câu 6 (1,0 điểm). Cho lăng trụ ABC.A'B'C' có đáy là một tam giác đều cạnh bằng 2a. Hình chiếu vuông góc của B lên mặt phẳng (A'B'C') là trung điểm H của cạnh B'C', góc giữa A'B với mặt phẳng (A'B'C') bằng 600. Tính thể tích của khối lăng trụ ABC.A'B'C' và khoảng cách giữa hai đường thẳng CC' và A'B theo a.
Câu 7 (1,0 điểm).
a) Giải phương trình √3sin2x - cos2x = 4cosx + 1.
b) Một tổ có 5 học sinh nam và 6 học sinh nữ. Giáo viên chọn ngẫu nhiên 3 học sinh để làm trực nhật. Tính xác suất để 3 học sinh được chọn có cả nam và nữ.
Câu 8 (1,0 điểm). Trong mặt phẳng tọa độ Oxy,cho tam giác ABC nội tiếp đường tròn tâm I. Điểm M(0; -2) là trung điểm cạnh BC và điểm E(-1; -4) là hình chiếu vuông góc của B trên AI. Xác định tọa độ các đỉnh của tam giác ABC, biết đường thẳng AC có phương trình x + y - 4 = 0.
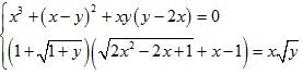
Câu 9 (1,0 điểm). Giải hệ phương trình 
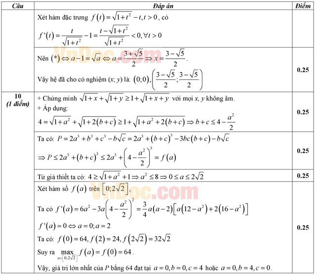
Câu 10 (1,0 điểm). Cho a, b, c là các số thực không âm thay đổi thỏa mãn điều kiện:
. Tìm giá trị lớn nhất của biểu thức P = 2a3 + b3 + c3 - b√c.
Đáp án đề thi thử THPT Quốc gia môn Toán năm 2016




