Đề thi thử tốt nghiệp THPT 2025 môn Công nghệ Sở GD&ĐT Cà Mau
Thi THPT Quốc gia 2025
Lớp:
THPT Quốc gia
Môn:
Công Nghệ
Dạng tài liệu:
Đề thi
Loại:
Tài liệu Lẻ
Loại File:
PDF
Phân loại:
Tài liệu Tính phí

Mã đề 1001 - Trang 1/4
SỞ GIÁO DỤC VÀ ĐÀO TẠO
CÀ MAU
ĐỀ THI CHÍNH THỨC
(Đề thi có 04 trang)
KỲ THI THỬ TỐT NGHIỆP THPT NĂM 2025
MÔN: CÔNG NGHỆ - NÔNG NGHIỆP
Ngày thi: 18/05/2025
Thời gian làm bài: 50 phút, không kể thời gian giao đề
Họ, tên thí sinh: ..........................................................................
Số báo danh: ...............................................................................
Phần I. Câu trắc nghiệm nhiều phương án lựa chọn (Thí sinh trả lời từ câu 1 đến câu 24.
Mỗi câu hỏi thí sinh chỉ chọn một phương án).
Câu 1: Sản phẩm nào sau đây là của ngành lâm nghiệp?
A. Thủy sản.
B. Thịt.
C. Lúa gạo.
D. Gỗ.
Câu 2: Trong trồng trọt, giá thể hữu cơ tự nhiên gồm những loại nào sau đây?
A. Than bùn, mùn cưa, đá perlite, đất sét. B. Than bùn, mùn cưa, trấu hun, xơ dừa.
C. Than bùn, mùn cưa, trấu hun, gốm. D. Than bùn, mùn cưa, trấu hun, đất phù sa.
Câu 3: Đối với chuồng nuôi, yêu cầu cơ bản về nền chuồng là gì?
A. Nền mềm mại.
B. Luôn nhẵn bóng.
C. Thoát nước tốt.
D. Có tính thẩm mỹ.
Câu 4: Giống vật nuôi là quần thể vật nuôi
A. cùng loài, cùng nguồn gốc, có ngoại hình và cấu trúc di truyền không giống nhau.
B. khác loài, cùng nguồn gốc, có ngoại hình và cấu trúc di truyền tương tự nhau.
C. cùng loài, khác nguồn gốc, có ngoại hình và cấu trúc di truyền không giống nhau.
D. cùng loài, cùng nguồn gốc, có ngoại hình và cấu trúc di truyền tương tự nhau.
Câu 5: Dựa vào kiểu hình, thu hoạch hỗn hợp hạt của các cá thể để gieo trồng và đánh giá ở vụ
sau. Đây là phương pháp chọn lọc gì?
A. Chọn lọc thuần chủng.
B. Chọn lọc hỗn hợp.
C. Chọn lọc kiểu gen.
D. Chọn lọc cá thể.
Câu 6: Nhận định nào sau đây là đúng khi nói về vai trò của giống trong nuôi thủy sản?
A. Giống thủy sản quyết định lượng thuốc, hoá chất sử dụng trong quá trình nuôi.
B. Giống thủy sản quyết định đến phương pháp cho thủy sản ăn.
C. Giống thủy sản quyết định đến mức độ đầu tư, quy mô nuôi.
D. Giống thủy sản quyết định đến năng suất và chất lượng sản phẩm của thuỷ sản.
Câu 7: Công nghệ Biofloc thường được áp dụng đối với những loài thủy sản nào sau đây?
A. Tôm, ngao, cá chép.
B. Ngao, cá trắm cỏ, cá chép.
C. Tôm, cá rô phi, cá chép.
D. Ốc hương, ngao, cá rô phi.
Câu 8: Loại thức ăn nào có chứa đầy đủ các chất dinh dưỡng và thành phần dinh dưỡng đã
được cân đối?
A. Chất bổ sung.
B. Thức ăn tươi sống.
C. Thức ăn nguyên liệu.
D. Thức ăn hỗn hợp.
Câu 9: Trong các loại phân bón sau đây, loại nào là phân hữu cơ?
A. Phân kali.
B. Phân lân.
C. Phân đạm.
D. Phân xanh.
Câu 10: Giống bản địa là giống như thế nào?
A. Có nguồn gốc từ nước ngoài được du nhập vào Việt Nam.
B. Có nguồn gốc từ Việt Nam được chăn nuôi ở nước ngoài.
C. Được hình thành và chăn nuôi ở một địa phương trên lãnh thổ Việt Nam.
D. Được hình thành và chăn nuôi ở một địa phương trên lãnh thổ nước ngoài.
Câu 11: Nội dung nào sau đây đúng về cơ giới hóa trong làm đất?
A. Sử dụng máy móc, thiết bị hỗ trợ cho việc trồng cây, gieo hạt.
B. Sử dụng máy móc, thiết bị hỗ trợ cho việc thu gom các sản phẩm trồng trọt.
C. Sử dụng máy móc, thiết bị hỗ trợ cho việc làm đất để gieo trồng.
D. Sử dụng máy móc, thiết bị hỗ trợ cho việc tưới nước, bón phân, phun thuốc.
Mã đề thi 1001

Mã đề 1001 - Trang 2/4
Câu 12: Sau khi xử lý qua hầm Biogas, chất thải chăn nuôi có thể dùng để làm gì?
A. Tận dụng làm thức ăn cho cá.
B. Trực tiếp làm mát chuồng nuôi.
C. Làm phân bón cho cây trồng.
D. Làm lớp đệm cho nền chuồng.
Câu 13: Nhận định nào sau đây đúng khi nói về ưu điểm của trồng rừng bằng gieo hạt thẳng?
A. Ít tốn công chăm sóc, ít bị côn trùng tấn công, sức đề kháng tốt.
B. Cây có sức đề kháng tốt nên tỉ lệ sống cao, khỏe mạnh.
C. Tiết kiệm được số lượng hạt giống, thời gian chăm sóc ngắn.
D.
Có thể gieo trên vùng đất rộng, bộ rễ cây phát triển tự nhiên.
Câu 14: Ở Việt Nam hiện tại, phương thức nuôi thủy sản nào thu được năng suất và hiệu quả
kinh tế cao nhất?
A. Nuôi trồng thuỷ sản quảng canh. B. Nuôi trồng thuỷ sản bán thâm canh.
C. Nuôi trồng thuỷ sản thâm canh. D. Nuôi trồng thuỷ sản quảng canh cải tiến.
Câu 15: Nhận định nào sai khi nói về vai trò của thuỷ sản đối với nền kinh tế và đời sống xã
hội?
A. Cung cấp lương thực, thực phẩm cho con người.
B. Cung cấp nguyên liệu cho chế biến và xuất khẩu.
C. Đảm bảo an ninh quốc phòng và phát triển bền vững.
D. Tạo thêm công ăn việc làm cho người lao động.
Câu 16: Trồng rừng phòng hộ đầu nguồn có vai trò quan trọng nào sau đây?
A. Phủ xanh đất trống, đồi núi trọc.
B. Bảo vệ môi trường sinh thái trong các khu công nghiệp.
C. Giúp điều tiết nguồn nước, hạn chế lũ lụt.
D. Ngăn chặn sự xâm lấn của nước mặn vào đồng ruộng.
Câu 17: Tại sao thức ăn cung cấp protein có vai trò quyết định năng suất chăn nuôi?
A. Vì protein cung cấp năng lượng chính cho mọi hoạt động của vật nuôi.
B. Vì protein là thành phần quan trọng trong cấu trúc xương, cơ quan nội tạng.
C. Vì protein giúp tăng sức đề kháng cho vật nuôi chống chịu lại điều kiện bất lợi.
D. Vì protein là thành phần chủ yếu trong các sản phẩm chăn nuôi: thịt, sữa, trứng.
Câu 18: Một trong những ưu điểm của chăn nuôi công nghiệp là gì?
A. Thân thiện với vật nuôi.
B. Chi phí đầu tư thấp.
C. Kiểm soát dịch bệnh tốt.
D. Dễ áp dụng tại gia đình.
Câu 19: Trong hệ thống vắt sữa bò tự động, yếu tố nào quan trọng nhất để đảm bảo chất lượng
sữa?
A. Số lượng bò trong mỗi lần vắt sữa.
B. Trình độ chuyên môn của người sử dụng thiết bị.
C. Thời gian vận chuyển sữa đến nhà máy.
D. Vệ sinh thiết bị và bầu vú bò trước khi vắt sữa.
Câu 20: Mục đích của việc tiêm phòng vaccine cho vật nuôi là gì?
A. Làm giảm chi phí thức ăn cho vật nuôi.
B. Tăng khả năng miễn dịch cho vật nuôi.
C. Giúp vật nuôi ngủ ngon và tăng cân nhanh hơn.
D. Chữa khỏi bệnh ngay lập tức khi vật nuôi bị ốm.
Câu 21: Có 6 lồng nuôi cá với kích thước mỗi lồng là 4m × 4m × 4m, phần lồng nổi trên mặt
nước là 0,5m. Nếu thả cá rô phi đơn tính với mật độ 40 con/m³ thì cần bao nhiêu con giống?
A. 28.000
B. 13.440
C. 17.890
D. 21.504
Câu 22: Dự án trồng rừng quy mô lớn trên vùng đất bạc màu do khai thác vàng trước đó, yếu
tố nào sau đây là quan trọng nhất cần xem xét trước khi lựa chọn loài cây trồng?
A. Khả năng hấp thụ chất dinh dưỡng và chống chịu được kim loại nặng.
B. Giá trị kinh tế của gỗ và lâm sản phụ để tối đa hóa lợi nhuận.
C. Khả năng chịu hạn, chịu phèn và khả năng cải tạo đất của loài cây.
D. Năng suất sinh trưởng của loài cây để đảm bảo thu hoạch nhanh chóng.

Mã đề 1001 - Trang 3/4
Câu 23: Cho một số loại thức ăn thuỷ sản đang được sử dụng ở địa phương ở bảng sau:
Phân loại thức ăn
Tên các loại thức ăn
1. Chất bổ sung
a. Cám cá (dạng viên)
2. Thức ăn hỗn hợp
b. Khoáng đa lượng, vi lượng
3. Nguyên liệu
c. Giun đất, giun chỉ
4. Thức ăn tươi sống
d. Cám gạo
Hãy ghép phân loại thức ăn với tên các loại thức ăn cho phù hợp:
A. 1-b, 2-c, 3-d, 4-a.
B. 1-b, 2-d, 3-a, 4-c.
C. 1-c, 2-a, 3-d, 4-b.
D. 1-b, 2-a, 3-d, 4-c.
Câu 24: Trong nhân giống cá, để quá trình thành thục của trứng và tinh trùng xảy ra vào cùng
thời điểm có thể sử dụng biện pháp nào sau đây?
A. Trộn đều estrogen vào thức ăn của cá đực và cá cái.
B. Tiêm HCG với liều lượng phù hợp cho cá đực và cá cái.
C. Trộn đều testosterone vào thức ăn của cá đực và cá cái.
D. Tiêm chất dinh dưỡng phù hợp cho cá đực và cá cái.
PHẦN II. Câu trắc nghiệm đúng sai. (Thí sinh trả lời từ câu 1 đến câu 4. Trong mỗi ý a), b),
c), d) ở mỗi câu, thí sinh chọn đúng hoặc sai)
Câu 1: Khi tìm hiểu dự án: “Ứng dụng công nghệ sinh học trong xử lí khí độc có trong nước
nuôi thuỷ sản”. Một nhóm học sinh đã thảo luận và đưa ra một số ý kiến sau:
a) Các khí độc có trong môi trường nuôi thuỷ sản là: CaCl
2
, H
3
PO
4
, NaCl...
b) Các nhóm vi khuẩn tham gia vào quá trình chuyển hoá nitrogen trong nước được ứng dụng
phổ biến là Bacillus subtilis và Lactic.
c) Các nhóm vi khuẩn được sử dụng ở dạng chế phẩm sinh học để bổ sung vào hệ thống nuôi
hoặc kết hợp vào các công nghệ xử lí môi trường.
d) Con đường chuyển hoá xử lí khí độc NH
3
trong nước
theo thứ tự: NH
3
→ NH
+
4
→ NO
-
2
.
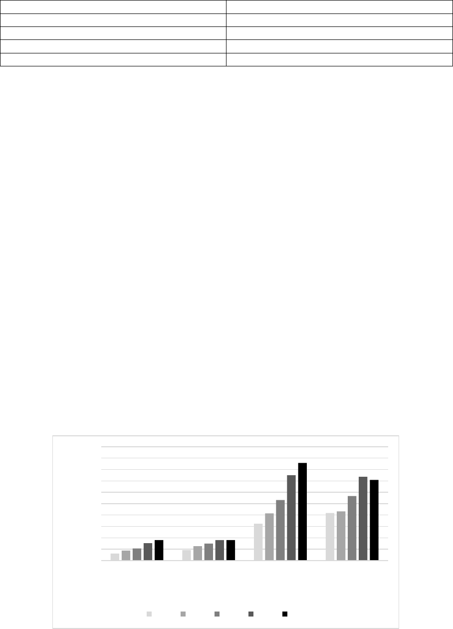
Câu 2: Việt Nam rất chú trọng đến việc khai thác thủy hải sản từ các nguồn lực sẵn có. Việt
Nam có bốn khu vực có tổng sản lượng thủy sản khai thác lớn nhất là: Bắc Trung Bộ và Duyên
hải miền Trung, Đông Nam Bộ, Đồng bằng sông Cửu Long, Đồng bằng sông Hồng. Sản lượng
khai thác thủy sản tại các khu vực này trong giai đoạn 2002-2022 được thể hiện chi tiết qua
biểu đồ dưới đây:
Biểu đồ: Sản lượng khai thác thủy sản tại các khu vực này trong giai đoạn 2002-2022
Theo Tổng cục thống kê năm 2022 (đơn vị: tấn)
a) Đồng bằng sông Cửu Long và khu vực Bắc trung bộ và Duyên hải miền Trung có nhiều
lợi thế để khai thác thủy sản hơn các khu vực khác.
b) Giải pháp phát triển lĩnh vực khai thác thủy sản bền vững là tăng cường khai thác gần bờ,
giảm khai thác xa bờ.
c) Khai thác thủy sản là một lĩnh vực được chú trọng trong ngành thủy sản của nước ta.
d) Đồng bằng sông Hồng là khu vực có sản lượng khai thác thủy sản tăng mạnh nhất.
0
200000
400000
600000
800000
1000000
1200000
1400000
1600000
1800000
2000000
Đồng bằng sông
Hồng
Đông Nam Bộ Bắc Trung Bộ và
Duyên hải miền
Trung
Đồng bằng sông
Cửu Long
2002 2008 2012 2018 2022
Đề thi thử tốt nghiệp môn Công nghệ Sở Cà Mau
Đề thi thử tốt nghiệp THPT Quốc gia 2025 môn Công nghệ Sở GD&ĐT Cà Mau có đáp án là tài liệu hữu ích giúp bạn đọc có thể trau dồi, nội dung kiến thức, chuẩn bị thật tốt cho kì Thi THPT Quốc gia sắp tới nhé. Đề thi được biên soạn theo cấu trúc đề thi mới. Đề thi gồm có 24 câu hỏi trắc nghiệm nhiều phương án lựa chọn, 4 câu hỏi trắc nghiệm đúng sai. Thí sinh làm bài trong thời gian 50 phút. Đề có đáp án và lời giải chi tiết kèm theo. Mời các bạn cùng theo dõi bài viết dưới đây.