Đề thi thử vào lớp 10 THPT môn Toán phòng GD&ĐT Tam Đảo, Vĩnh Phúc năm 2016 - 2017
Đề thi thử vào lớp 10 THPT môn Toán
Đề thi thử vào lớp 10 THPT môn Toán phòng GD&ĐT Tam Đảo, Vĩnh Phúc năm 2016 - 2017 được VnDoc sưu tầm và đăng tải nhằm giúp các em học sinh có thêm nhiều tài liệu ôn thi vào lớp 10 môn Toán để tham khảo chuẩn bị tốt cho kì thi tuyển sinh sắp tới đây đạt kết quả cao. Mời các em cùng tham khảo.
Đề thi thử vào lớp 10 THPT môn Ngữ văn phòng GD&ĐT Tam Đảo, Vĩnh Phúc năm 2016 - 2017
Đề thi thử vào lớp 10 THPT môn Hóa học trường THPT Chuyên Nguyễn Huệ, Hà Nội năm 2016 - 2017 (Lần 3)
| PHÒNG GD&ĐT TAM ĐẢO | ĐỀ THI THỬ LẦN 1 TUYỂN SINH VÀO LỚP 10 THPT NĂM HỌC 2016-2017 ĐỀ THI MÔN: TOÁN Thời gian làm bài: 120 phút, không kể thời gian giao đề. |
PHẦN I. TRẮC NGHIỆM (2,0 điểm): Trong 4 câu từ câu 1 đến câu 4, mỗi câu đều có 4 lựa chọn, trong đó có duy nhất lựa chọn đúng. Em hãy viết vào tờ giấy làm bài thi chữ cái A, B, C hoặc D đứng trước lựa chọn mà em cho là đúng.
Câu 1. Giá trị của x để biểu thức
có nghĩa là:
![]()
Câu 2. Giá trị của √6√24 bằng:
A. 36 B. 14 C. 144 D. 12
Câu 3. Giá trị nào của m thì đường thẳng y = x + m tiếp xúc với parabol y = x2 ?
![]()
Câu 4. Một hình trụ có bán kính đường tròn đáy là 2a, chiều cao là 4a (a>0 cho trước) thì có thể tích là:
A. 16πa3 B. 8πa3 C . 4πa3 D. 32πa3
PHẦN II. TỰ LUẬN (8,0 điểm).
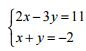
Câu 5 (1,5 điểm). Giải hệ phương trình 
Câu 6 (2,0 điểm). Cho phương trình: x2 – 2mx + m2 – m + 1= 0 (x là ẩn, m là tham số).
a) Giải phương trình khi m = 1
b) Tìm m để phương trình có hai nghiệm phân biệt x1, x2.
c) Với điều kiện của câu b) hãy tìm giá trị của m để biểu thức A= x1. x2 – x1 – x2 +2016 đạt giá trị nhỏ nhất tìm giá trị nhỏ nhất đó.
Câu 7 (1,5 điểm). Hai vòi nước cùng chảy vào một cái bể không có nước thì trong 5 giờ sẽ đầy bể. Nếu vòi thứ nhất chảy trong 3 giờ và vòi thứ 2 chảy trong 4 giờ thì được 2/3 bể nước. Hỏi nếu mỗi vòi chảy một mình thì trong bao lâu mới đầy bể.
Câu 8 (2,0 điểm). Cho đường tròn (O), M là một điểm nằm ngoài đường tròn (O). Qua M kẻ hai tiếp tuyến MA, MB đến đường tròn (O) với A, B là các tiếp điểm; MPQ là một cát tuyến không đi qua tâm của đường tròn (O), P nằm giữa M và Q. Qua P kẻ đường thẳng vuông góc với OA cắt AB, AQ tương ứng tại R, S. Gọi trung điểm đoạn PQ là N. Chứng minh rằng:
a) Các điểm M, A, N, O, B cùng thuộc một đường tròn, chỉ rõ bán kính của đường tròn đó.
b) PR = RS.
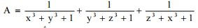
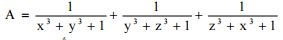
Câu 9 (1,0 điểm). Cho x; y; z là các số thực dương thoả mãn: xyz = 1
Tìm giá trị lớn nhất của biểu thức: ![]()
Đáp án đề thi thử vào lớp 10 THPT môn Toán
Phần I: Trắc nghiệm
| Câu | 1 | 2 | 3 | 4 |
| Đáp án | B | D | C | A |
| Điểm | 0,5 | 0,5 | 0,5 | 0,5 |
Phần II: Tự luận
Câu 5:

Câu 6:

Câu 7:

Câu 8:


Câu 9:
