Đề thi tuyển sinh lớp 10 THPT chuyên Tin học tỉnh Thái Nguyên năm 2012 - 2013 môn Toán - Có đáp án
Nhằm giúp các bạn chuẩn bị thật tốt kiến thức để làm bài thi đạt hiệu quả cao, Vndoc.com xin giới thiệu: Đề thi tuyển sinh lớp 10 THPT chuyên Tin học tỉnh Thái Nguyên năm 2012 - 2013 môn Toán - Có đáp án.
Đề thi tuyển sinh lớp 10 (chuyên Tin) môn Toán:
SỞ GIÁO DỤC VÀ ĐÀO TẠO
|
ĐỀ THI TUYỂN SINH LỚP 10 THPT CHUYÊN
|
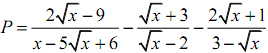
Câu 1 (2,0 điểm)
Cho biểu thức: 
a. Rút gọn P.
b. Tìm các giá trị nguyên của x để giá trị của biểu thức P là số nguyên.
Câu 2 (2,0 điểm)
Cho phương trình: x2 - 2(m - 1)x + m - 3 = 0 (1)
a. Chứng minh rằng với mọi m thuộc R phương trình (1) luôn có hai nghiệm phân biệt x1, x2.
b. Tìm các giá trị của m để x12 + x22 đạt giá trị nhỏ nhất.
Câu 3 (3,0 điểm)
a. Tìm nghiệm nguyên của phương trình: 3x2 - 2xy + y - 5x + 2 = 0
b. Trong một hộp có 2012 viên sỏi. Hai người A và B tham gia trò chơi bốc sỏi như sau: Mỗi người lần lượt phải bốc ít nhất 1 viên và nhiều nhất 30 viên sỏi. Người nào bốc được viên sỏi cuối cùng sẽ thắng cuộc. Hỏi ai luôn thắng cuộc và chỉ ra thuật chơi.
Câu 4 (1 điểm)
Từ 1 đến 2013 có bao nhiêu số tự nhiên biểu diễn được dưới dạng hiệu bình phương của hai số nguyên (dạng a2 - b2).
Câu 5 (2 điểm)
Cho tam giác ABC, lấy điểm M nằm trong tam giác ABC, các đường thẳng AM, BM, CM cắt các cạnh BC, CA, AB tương ứng tại A', B', C'.
a. Chứng minh rằng: ![]()
b. Tìm giá trị nhỏ nhất của biểu thức: ![]()