Giao diện mới của VnDoc Pro: Dễ sử dụng hơn - chỉ tập trung vào lớp bạn quan tâm. Vui lòng chọn lớp mà bạn quan tâm: Lưu và trải nghiệm
Đóng
Điểm danh hàng ngày
  • Hôm nay +3
  • Ngày 2 +3
  • Ngày 3 +3
  • Ngày 4 +3
  • Ngày 5 +3
  • Ngày 6 +3
  • Ngày 7 +5
Bạn đã điểm danh Hôm nay và nhận 3 điểm!
Nhắn tin Zalo VNDOC để nhận tư vấn mua gói Thành viên hoặc tải tài liệu Hotline hỗ trợ: 0936 120 169

Đề thi tuyển sinh lớp 10 THPT Chuyên Tin tỉnh Vĩnh Phúc năm 2012 - 2013 môn Toán

Lớp: Lớp 10
Loại File: Word
Phân loại: Tài liệu Tính phí

Nhằm giúp các bạn chuẩn bị thật tốt kiến thức đề làm bài thi đạt hiệu quả cao, Vndoc xin giới thiệu: Đề thi tuyển sinh lớp 10 THPT Chuyên Tin tỉnh Vĩnh Phúc năm 2012 - 2013 môn Toán.

Đề thi tuyển sinh lớp 10 môn Toán (lớp chuyên Tin):

SỞ GIÁO DỤC VÀ ĐÀO TẠO
VĨNH PHÚC

ĐỀ THI CHÍNH THỨC

KỲ THI TUYỂN SINH LỚP 10 CHUYÊN
NĂM HỌC 2012 - 2013

MÔN THI: TOÁN
(Dành cho học sinh thi vào lớp chuyên Tin học)
Thời gian làm bài: 150 phút (không kể thời gian giao đề)

Câu 1 (2,0 điểm).

Giải phương trình: Đề thi tuyển sinh lớp 10 THPT Chuyên Tin tỉnh Vĩnh Phúc môn Toán

Câu 2 (2,0 điểm).

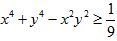
Cho x, y là các số thực thỏa mãn x2 + y2 - xy = 1. Chứng minh rằng:
a.
b.

Câu 3 (2,0 điểm).

Tìm tất cả các bộ ba số nguyên dương (x; y; z) thỏa mãn: 3(xy + yz + xz) = 4xyz.

Câu 4 (3,0 điểm).

Cho tam giác ABC nhọn, nội tiếp trong đường tròn (O). Lấy điểm P trên cung không chứa C của đường tròn (O) (P khác A và B). Đường thẳng qua P vuông góc với OA cắt các đường thẳng AB, AC theo thứ tự tại Q, R; đường thẳng qua P vuông góc với OB cắt các đường thẳng AB, BC theo thứ tự tại S, T.

1. Chứng minh rằng tam giác PQS cân.

2. Chứng minh rằng PQ2 = QR.ST.

Câu 5 (1,0 điểm).

Hai bạn Vĩnh và Phúc được cho 2012 chiếc kẹo. Họ chia kẹo cho nhau theo quy tắc: luân phiên nhau, mỗi người ở một lần chỉ được lấy ít nhất là 1 chiếc kẹo và nhiều nhất là 4 chiếc kẹo. Vĩnh là người được lấy đầu tiên. Người nào lấy được chiếc kẹo cuối cùng thì người đó thắng cuộc. Hỏi ai là người có thể luôn thắng cuộc?

Chọn file muốn tải về:
Đóng Chỉ thành viên VnDoc PRO/PROPLUS tải được nội dung này!
Đóng
79.000 / tháng
Đặc quyền các gói Thành viên
PRO
Phổ biến nhất
PRO+
Tải tài liệu Cao cấp 1 Lớp
30 lượt tải tài liệu
Xem nội dung bài viết
Trải nghiệm Không quảng cáo
Làm bài trắc nghiệm không giới hạn
Mua cả năm Tiết kiệm tới 48%
2

Có thể bạn quan tâm

Xác thực tài khoản!

Theo Nghị định 147/2024/ND-CP, bạn cần xác thực tài khoản trước khi sử dụng tính năng này. Chúng tôi sẽ gửi mã xác thực qua SMS hoặc Zalo tới số điện thoại mà bạn nhập dưới đây:

Số điện thoại chưa đúng định dạng!
Số điện thoại này đã được xác thực!
Bạn có thể dùng Sđt này đăng nhập tại đây!
Lỗi gửi SMS, liên hệ Admin
Sắp xếp theo
🖼️

Lớp 10

Xem thêm
🖼️

Gợi ý cho bạn

Xem thêm