Đề thi tuyển sinh vào lớp 10 môn Toán trường THPT Hùng Vương, Phú Thọ năm 2015 - 2016 (chuyên Toán)
Đề thi tuyển sinh vào lớp 10 môn Toán
Đề thi tuyển sinh vào lớp 10 môn Toán trường chuyên Hùng Vương, Phú Thọ năm 2015 - 2016 được VnDoc.com sưu tầm và đăng tải là tài liệu tham khảo hữu ích dành cho các bạn học sinh lớp 9, giúp các bạn ôn tập và nâng cao kiến thức môn Toán, chuẩn bị cho kì thi tuyển sinh vào lớp 10 hiệu quả. Đề thi có đáp án, mời các bạn tham khảo.
Đề thi tuyển sinh vào lớp 10 môn Toán sở GD&ĐT Cần Thơ năm 2015 - 2016
Đề thi tuyển sinh lớp 10 THPT Chuyên Long An năm học 2014 - 2015 môn Ngữ văn (chuyên)
| SỞ GIÁO DỤC VÀ ĐÀO TẠO PHÚ THỌ |
KỲ THI TUYỂN SINH VÀO LỚP 10 TRUNG HỌC PHỔ THÔNG CHUYÊN HÙNG VƯƠNG NĂM HỌC 2015-2016 Môn Toán (Dành cho thí sinh thi vào lớp chuyên Toán) Thời gian làm bài: 150 phút, không kể thời gian giao đề Đề thi có 01 trang |
Đề chính thức
Câu 1 (1,5 điểm)
a) Chứng minh rằng nếu số nguyên n lớn hơn 1 thoả mãn n2 + 4 và n2 + 16 là các số nguyên tố thì n chia hết cho 5.
b) Tìm nghiệm nguyên của phương trình: x2 - 2y(x - y) = 2(x+1)
Câu 2 (2,0 điểm)
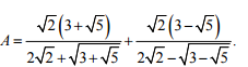
a) Rút gọn biểu thức: 
b) Tìm m để phương trình: (x-2)(x-3)(x+4)(x+5)= m có 4 nghiệm phân biệt.
Câu 3 (2,0 điểm)

Câu 4 (3,5 điểm)
Cho đường tròn (O; R) và dây cung cố định BC = R√3. Điểm A di động trên cung lớn BC sao cho tam giác ABC nhọn. Gọi E là điểm đối xứng với B qua AC và F là điểm đối xứng với C qua AB. Các đường tròn ngoại tiếp các tam giác và cắt nhau tại K (K không trùng A). Gọi H là giao điểm của BE và CF.
a) Chứng minh KA là phân giác trong góc BKC và tứ giác BHCK nội tiếp.
b) Xác định vị trí điểm A để diện tích tứ giác BHCK lớn nhất, tính diện tích lớn nhất của tứ giác đó theo R.
c) Chứng minh AK luôn đi qua một điểm cố định.
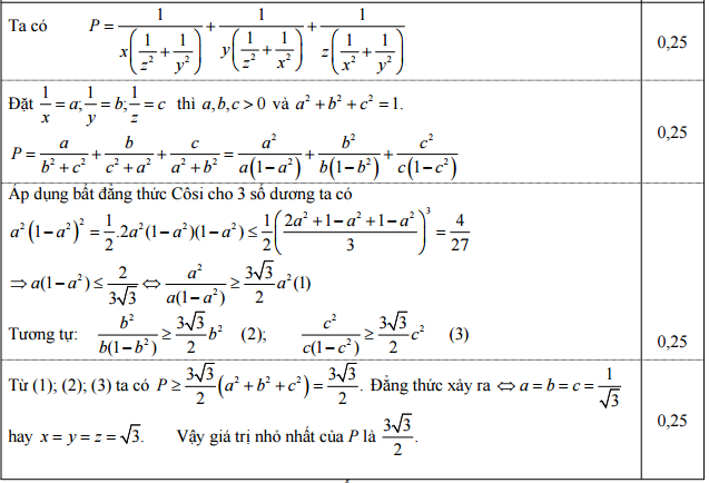
Câu 5 (1,0 điểm)

Đáp án đề thi tuyển sinh vào lớp 10 môn Toán
Câu 1:
a) Ta có với mọi số nguyên m thì m2 chia cho 5 dư 0, 1 hoặc 4
Nếu n2 chia cho 5 dư 1 thì n2 = 5k+ 1 => n2 + 4 = 5k + 5 ⋮5; k ∈ N*. nên n2 + 4 không có số nguyên tố
Nếu n2 chia cho 5 dư 4 thì n2 =5k + 4 => n2 + 16 = 5k + 20⋮ 5; k ∈ N*
nên n2 + 16 không là số nguyên tố
Vậy n2⋮ 5 hay n chia hết cho 5

Câu 2:

Câu 3:

Câu 4:


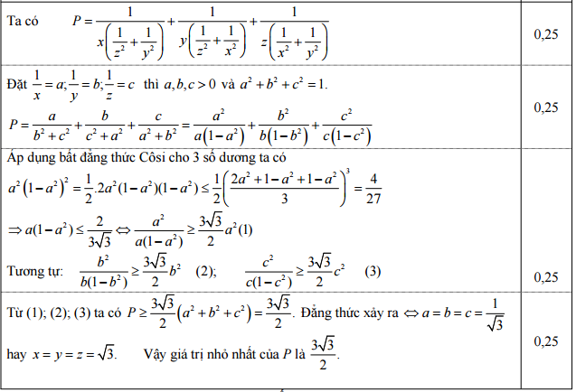
Câu 5:
