Đề thi tuyển sinh vào lớp 10 THPT chuyên môn Toán sở GD&ĐT Nam Định năm 2015 - 2016
Đề thi tuyển sinh vào lớp 10 THPT chuyên môn Toán
Đề thi tuyển sinh vào lớp 10 THPT chuyên môn Toán sở GD&ĐT Nam Định năm 2015 - 2016 được VnDoc sưu tầm và đăng tải là tài liệu tham khảo hữu ích dành cho các bạn học sinh lớp 9, giúp các bạn ôn tập và nâng cao kiến thức môn Toán, chuẩn bị cho kì thi tuyển sinh vào lớp 10 hiệu quả. Đề thi có đáp án, mời các bạn tham khảo.
Đề thi tuyển sinh vào lớp 10 THPT môn Ngữ văn trường THPT chuyên Thái Nguyên năm 2015 - 2016
Đề thi tuyển sinh vào lớp 10 THPT môn Toán sở GD&ĐT Phú Thọ năm 2015 - 2016
| SỞ GIÁO DỤC VÀ ĐÀO TẠO NAM ĐỊNH |
ĐỀ THI TUYỂN SINH LỚP 10 TRƯỜNG THPT CHUYÊN Năm học 2015 - 2016 Môn: TOÁN (chung) Thời gian làm bài: 120 phút. (Đề thi gồm: 01 trang) |
Câu 1. (2,0 điểm)
1) Với giá trị nào của thì biểu thức
xác định.
2) Tính giá trị của biểu thức ![]()
3) Tìm tọa độ của các điểm có tung độ bằng 8 và nằm trên đồ thị hàm số y = 2x2.
4) Cho tam giác vuông tại A, AB = 3, BC = 5. Tính cosACB
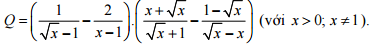
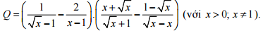
Câu 2. (1,5 điểm) Cho biểu thức ![]()
1) Rút gọn biểu thức Q.
2) Tìm các giá trị của x để Q = -1.
Câu 3. (2,5 điểm)
1) Cho phương trình x2 - 2(m -1)x + m2 - 6 = 0 (1) (với m là tham số)
a) Giải phương trình với m = 3
b) Với giá trị nào của thì phương trình (1) có các nghiệm x1; x2 thỏa mãn x12 + x22 = 16.
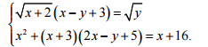
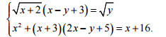
2) Giải hệ phương trình![]()
Câu 4. (3,0 điểm) Cho tam giác ABC vuông tại A (AB < AC), đường cao AH. Đường tròn tâm I đường kính AH cắt các cạnh AB, AC lần lượt tại M, N. Gọi O là trung điểm của đoạn BC, D là giao điểm của MN và OA.
1) Chứng minh rằng:
a) AM.AB = AN.AC
b) Tứ giác BMNC là tứ giác nội tiếp.
2) Chứng minh rằng:
a) ΔADI ~ ΔAHO
![]()
3) Gọi P là giao điểm của BC và MN, K là giao điểm thứ hai của AP và đường tròn đường kính AH. Chứng minh rằng ![]()
Câu 5. (1,0 điểm)
1) Giải phương trình ![]()
2) Xét các số thực dương a, b, c thỏa mãn abc = 1. Tìm giá trị lớn nhất của biểu thức ![]()
Đáp án đề thi tuyển sinh vào lớp 10 THPT chuyên môn Toán
Câu 1:

Câu 2:

Vậy với x = 1/4 thì Q = - 1
Câu 3:



Câu 4:



Câu 5:

