Đề thi Violympic Toán lớp 7 vòng 1 năm 2015 - 2016
Đề thi Violympic Toán lớp 7 vòng 1
Đề thi Violympic Toán lớp 7 vòng 1 năm 2015 - 2016 là đề thi giải Toán qua mạng có đáp án đi kèm, hi vọng giúp các em học sinh ôn tập và củng cố kiến thức, nhằm đạt kết quả cao trong các vòng tiếp theo của cuộc thi Violympic giải Toán qua mạng năm học 2015 - 2016.
Đề thi Violympic Toán lớp 7 vòng 1 năm 2015 - 2016 trực tuyến
Bài 1: Sắp xếp các giá trị theo thứ tự tăng dần

Bài 2: Đi tìm kho báu
Câu 2.1: Góc xOy có số đo bằng 60o; góc đối đỉnh với góc xOy có số đo là:
A. 120o B. 60o C. 90o D. 30o
Câu 2.2: Cho hai đường thẳng xx' và yy' cắt nhau tại điểm O. Biết số đo góc xOy bằng 4 lần số đo góc x'Oy. Số đo góc xOy là:
A. 140o B. 136o C. 128o D. 144o
Câu 2.3: Hai đường thẳng xx' và yy' cắt nhau tại điểm O tạo thành 4 góc, trong đó tổng hai góc xOy và x'Oy' bằng 248o. Số đo góc xOy' là:
A. 78o B. 56o C. 68o D. 48o
Câu 2.4: Giá trị của biểu thức:
là:
A. 10 B. 12 C. 6 D. 8
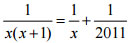
Câu 2.5: Giá trị của x thỏa mãn:
là:
A. -2012 B. -2011 C. 2011 D. 2012
Bài 3: Điền số thích hợp
Câu 3.1: Kết quả của phép tính: 3/5 + (-2/3) - (-5/2) - 13/30 bằng: ...............
Câu 3.2: Cho x thỏa mãn -x - 3/4 = -8/11. Khi đó 11x = ..............
Câu 3.3: Cho số hữu tỉ x thỏa mãn: 6/7 - (x - 1/2) = 5/6. Khi đó 21x = ..............
Câu 3.4: Kết quả của phép tính:
bằng: ............
Câu 3.5: Cho hai góc kề bù AOB và BOC. Biết góc BOC = 5AOB. Khi đó góc đối đỉnh với góc BOC có số đo bằng ...............o
Câu 3.6: Kết quả của phép tính: 5/8 - (-2/5) - 3/10 là: ................
Câu 3.7: Cho góc xOy = 30o. Biết x'Oy và xOy là hai góc kề bù, x'Oy' và x'Oy là hai góc kề bù. Số đo góc x'Oy' là: .................o
Câu 3.8: Cho ba đường thẳng xx'; yy'; zz' đồng quy tại O sao cho góc xOy = 60o và Ox là tia phân giác của góc xOy'. Số góc có số đo bằng 120o trong hình vẽ là: ........... góc.
Câu 3.9: Cho a, b Z, a < 0, b > 0. So sánh hai số hữu tỉ a/b và ![]()
ta được a/b ..............![]()
Câu 3.10: Cho 2 số hữu tỉ x = -17/23 và y = -171717/232323. Kết quả so sánh x và y là: x ........... y
Đáp án đề thi Violympic Toán lớp 7 vòng 1
Bài 1: Sắp xếp các giá trị theo thứ tự tăng dần
(7) < (6) < (10) < (3) < (8) < (4) < (5) < (1) < (9) < (2)
Bài 2: Đi tìm kho báu
Câu 2.1: B Câu 2.2: D Câu 2.3: B Câu 2.4: D Câu 2.5: D
Bài 3: Điền số thích hợp
Câu 3.1: 2 Câu 3.2: 0,25 Câu 3.3: 11 Câu 3.4: 14 Câu 3.5: 150
Câu 3.6: 0,725 Câu 3.7: 30 Câu 3.8: 6 Câu 3.9: < Câu 3.10: =