Đề thi Violympic Toán lớp 7 vòng 3 năm 2016 - 2017
Đề thi Violympic Toán lớp 7 vòng 3
Đề thi Violympic Toán lớp 7 vòng 3 năm 2016 - 2017 là đề thi giải Toán qua mạng có đáp án đi kèm, hi vọng giúp các em học sinh ôn tập và củng cố kiến thức, nhằm đạt kết quả cao trong các vòng tiếp theo của cuộc thi Violympic giải Toán qua mạng năm học 2016 - 2017.
Đề thi Violympic Toán lớp 7 vòng 4 năm 2015 - 2016
Đề thi Violympic môn Toán lớp 7 vòng 3 năm học 2016 - 2017 trực tuyến
Đề thi Violympic môn Toán lớp 7 vòng 3 năm 2016 - 2017
Bài 1: Đi tìm kho báu
Câu 1: Giá trị x âm thỏa mãn IxI = 4/8 là
a) x = 4/8 hoặc x = -4/8 b) x = -1/2 c) x = 4/8 d) x = -4/-8
Câu 2: Giá trị của biểu thức
là
a) 5/21 b) 2/7 c) 1/7 d) 13/21
Câu 3: Giá trị của x thỏa mãn Ix - 1,4I = 2,7 là
a) x = 4,1 hoặc x = -1,3
b) x = -4,1 hoặc x = -1,3
c) x = 4,1 hoặc x = 1,3
d) x = -4,1 hoặc x = 1,3
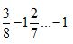
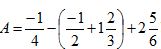
Câu 4: Giá trị của biểu thức:
là ......
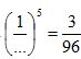
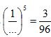
Câu 5: Từ 5 chữ số 0; 1; 2; 3; 4 ta lập được ... số có 3 chữ số chia hết cho 5
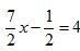
Câu 6: Giá trị của x thỏa mãn: ![]()
Câu 7: Kết quả của phép tính I5,15 - 2,15.4,2I + 4,23 : 3 là ......
a) -2,47 b) 7,82 c) 14,01 d) 5,29
Câu 8: Giá trị biểu thức (I-2,57 + 1,32I + 1,64 = 2,86).12 là ......
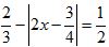
Câu 9: Giá trị của x thỏa mãn: ![]()
a) x = 11/24 hoặc x = 7/24
b) x = 11/24 hoặc x = -7/24
c) x - -11/24 hoặc x = 7/24
d) Không có giá trị nào của x
Câu 10: Đường thẳng c cắt 2 đường thẳng a và b. Số cặp góc đồng vị được tạo thành là bao nhiêu cặp
Câu 11: Hai đường thẳng xx' và yy' vuông góc với nhau. Số góc vuông được tạo bởi 2 đường là
a) 2 b) 1 c) 4 d) 3
Câu 12: Giá trị x thỏa mãn
là
a) 12/7 b) 4/63 c) 9/7 d) 63/4
Bài 2: Sắp xếp theo thứ tự tăng dần

Bài 3: Vượt chướng ngại vật
Câu 1: Điền dấu "<; =; >" vào chỗ chấm trong phép so sánh: ![]()
Câu 2: Điền số thích hợp vào chỗ chấm 
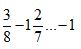
Câu 3: Giá trị của x để biểu thức 1,7 - Ix - 2016I đạt giá trị lớn nhất là
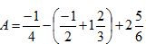
Câu 4: Giá trị biểu thức
là
Câu 5: Cho a, b thỏa mãn đẳng thức Ià - 1,74I + Ib3 + 64I = 0. Giá trị của a, b là ......
Đáp án đề thi Violympic Toán lớp 7 vòng 3
Bài 1: Đi tìm kho báu
Câu 1: b Câu 2: c Câu 3: a Câu 4: 17/12 Câu 5: 20 Câu 6: 0
Câu 7: d Câu 8: 0,36 Câu 9: a Câu 10: 4 Câu 11: c Câu 12: c
Bài 2: Sắp xếp theo thứ tự tăng dần
8 < 7 < 10 < 9 < 2 < 6 < 4 < 1 < 3 < 5
Bài 3: Vượt chướng ngại vật
Câu 1: > Câu 2: 2 Câu 3: 2016
Câu 4: -12/137 Câu 5: a = 1,74; b = -4