Giao diện mới của VnDoc Pro: Dễ sử dụng hơn - chỉ tập trung vào lớp bạn quan tâm. Vui lòng chọn lớp mà bạn quan tâm: Lưu và trải nghiệm
Đóng
Điểm danh hàng ngày
  • Hôm nay +3
  • Ngày 2 +3
  • Ngày 3 +3
  • Ngày 4 +3
  • Ngày 5 +3
  • Ngày 6 +3
  • Ngày 7 +5
Bạn đã điểm danh Hôm nay và nhận 3 điểm!
Nhắn tin Zalo VNDOC để nhận tư vấn mua gói Thành viên hoặc tải tài liệu Hotline hỗ trợ: 0936 120 169

Đề thi Violympic Toán lớp 7 vòng 5 năm 2015 - 2016

Loại File: PDF + Word
Phân loại: Tài liệu Tính phí

Đề thi Violympic Toán lớp 7 vòng 5

Đề thi Violympic Toán lớp 7 vòng 5 năm 2015 - 2016 là đề thi giải Toán qua mạng có đáp án đi kèm, hi vọng giúp các em học sinh ôn tập và củng cố kiến thức, nhằm đạt kết quả cao trong các vòng tiếp theo của cuộc thi Violympic giải Toán qua mạng năm học 2015 - 2016.

Đề thi Violympic Toán lớp 7 vòng 3 năm 2015 - 2016

Đề thi Violympic Toán lớp 7 vòng 4 năm 2015 - 2016

Đề thi Violympic Toán lớp 7 vòng 5 năm 2015 - 2016 trực tuyến

Bài 1: Đi tìm kho báu

Câu 1.1: Viết số 0,(5) dưới dạng phân số tối giản ta được: ..............

Dùng dấu "/" để ngăn cách tử số và mẫu số

Câu 1.2: Tìm x thỏa mãn: x/2 = 1 + 2/3

Câu 1.3: Nếu IxI = 0,25 thì x2 = .............

Câu 1.4: Trong các phân số: {1/9; 1/4; 1/3; 8/7} phân số viết được dưới dạng số thập phân hữu hạn là: .............

Câu 1.5: Điền dấu >, <, = thích hợp vào chỗ chấm: 227 ......... 318

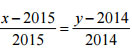
Câu 1.6: Giá trị x > 0 thỏa mãn: Đề thi Violympic Toán lớp 7 vòng 5là: x = ..................

Câu 1.7: Trong các phân số: {1/9; 1/4; 1/2; 8/5} phân số viết được dưới dạng số thập phân vô hạn tuần hoàn là: ...............

Câu 1.8: Một khu vườn hình chữ nhật có diện tích là 200m2. Chiều dài gấp đôi chiều rộng. Chu vi của khu vườn đó là: ................... m.

Câu 1.9: Viết 3,(18) dưới dạng phân số tối giản ta được: .............

Câu 1.10: Giá trị của biểu thức A = (60,192 : 2,4 - 1,08)2 - 0,24 . 1400 là:

Câu 1.11: Số giá trị của x thỏa mãn: I2x - 5I = x + 2 là: ................

Câu 1.12: Trường Dịch Vọng có số học sinh 4 khối 6; 7; 8; 9 tỉ lệ với 9; 8; 7; 6. Biết số học sinh khối 9 ít hơn số học sinh khối 7 là 20 học sinh. Số học sinh khối 6 trường Dịch Vọng là: ............... học sinh.

Bài 2: Đỉnh núi trí tuệ

Câu 2.1: Giá trị của biểu thức: ((14,3)2 + 205,92 + (7,2)2 + 437,75) : 102 là: ..............

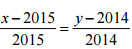
Câu 2.2: Cho x; y thỏa mãn:Đề thi Violympic Toán lớp 7 vòng 5. Khi đó x/y = ................

Câu 2.3: Hai số a; b thỏa mãn: a/19 = b/21 và 2a - b = 34. Khi đó a + b = ................

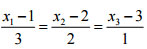
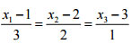
Câu 2.4: Cho các số x1; x2; x3 thỏa mãn: Đề thi Violympic Toán lớp 7 vòng 5 và x1 + x2 + x3 = 30. Khi đó x1.x2 - x2.x3 = ...............

Câu 2.5: Nếu y = 0,3(18) thì 22.y = ...............

Câu 2.6: Viết số 2,(18) dưới dạng phân số tối giản ta được kết quả là: ................

Câu 2.7: Số 0,1(23) được viết dưới dạng phân số tối giản là: ...............

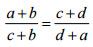
Câu 2.8: Biết: Đề thi Violympic Toán lớp 7 vòng 5. Với a + b + c + d # 0. Khi đó: a ........... c

Câu 2.9: Cho x; y; z thỏa mãn: Đề thi Violympic Toán lớp 7 vòng 5và x - 2y + 3z = 14. Khi đó: x + y + z= ..............

Câu 2.10: Cho ba số nguyên dương tỉ lệ lần lượt với các số 2; 3 và 5. Biết hiệu của số lớn nhất với số bé nhất trong ba số đó là 24. Số lớn nhất trong ba số đó là: ............

Đáp án đề thi Violympic Toán lớp 7 vòng 5

Bài 1: Đi tìm kho báu

Câu 1.1: 5/9 Câu 1.2: 10/3 Câu 1.3: 0,0625 hoặc 1/16 Câu 1.4: 1/4

Câu 1.5: < Câu 1.6: 1/5 Câu 1.7: 1/9 Câu 1.8: 60

Câu 1.9: 35/1 Câu 1.10: 240 Câu 1.11: 2 Câu 1.12: 90

Bài 2: Đỉnh núi trí tuệ

Câu 2.1: 9 Câu 2.2: 2015/2014 Câu 2.3: 80 Câu 2.4: 60

Câu 2.5: 5 Câu 2.6: 24/11 Câu 2.7: 61/495

Câu 2.8: = Câu 2.9: 15 Câu 2.10: 40

Chọn file muốn tải về:
Đóng Chỉ thành viên VnDoc PRO/PROPLUS tải được nội dung này!
Đóng
79.000 / tháng
Đặc quyền các gói Thành viên
PRO
Phổ biến nhất
PRO+
Tải tài liệu Cao cấp 1 Lớp
30 lượt tải tài liệu
Xem nội dung bài viết
Trải nghiệm Không quảng cáo
Làm bài trắc nghiệm không giới hạn
Mua cả năm Tiết kiệm tới 48%
Xác thực tài khoản!

Theo Nghị định 147/2024/ND-CP, bạn cần xác thực tài khoản trước khi sử dụng tính năng này. Chúng tôi sẽ gửi mã xác thực qua SMS hoặc Zalo tới số điện thoại mà bạn nhập dưới đây:

Số điện thoại chưa đúng định dạng!
Số điện thoại này đã được xác thực!
Bạn có thể dùng Sđt này đăng nhập tại đây!
Lỗi gửi SMS, liên hệ Admin
Sắp xếp theo
🖼️

Luyện thi

Xem thêm
🖼️

Gợi ý cho bạn

Xem thêm