Đề thi Violympic Toán tiếng Anh lớp 5 vòng 4 năm 2016 - 2017
Đề thi Violympic Toán Tiếng Anh lớp 5 vòng 4
Đề thi Violympic Toán Tiếng Anh lớp 5 vòng 4 năm 2016 - 2017 là đề thi giải Toán bằng Tiếng Anh qua mạng dành cho học sinh lớp 5 có đáp án đi cùng được VnDoc sưu tầm và giới thiệu tới các em học sinh hi vọng giúp các em ôn tập và củng cố kiến thức, nhằm đạt kết quả cao trong các vòng tiếp theo của cuộc thi Violympic giải Toán Tiếng Anh qua mạng năm học 2016 - 2017.
Đề thi Violympic Toán Tiếng Anh lớp 5 vòng 2 năm 2016 - 2017
Đề thi Violympic Toán Tiếng Anh lớp 5 vòng 2 năm 2016 - 2017
Đề thi Violympic Toán tiếng Anh lớp 5 vòng 4 năm 2016 - 2017 trực tuyến
Đề thi Violympic Toán tiếng Anh lớp 5 vòng 4 năm 2016 - 2017
Bài 1: Sắp xếp theo thứ tự tăng dần

Bài 2: Đi tìm kho báu
Câu 1: 2g = ......kg
a) 1/50 b) 1/5 c) 1/40 d) 1/4
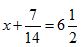
Câu 2: Find x such that: ![]()
a) x = 5 b) x = 6 c) x = 11/2 d) x = 5/2
Câu 3: To tile a yard of the school, they used 10800 square tiles with 50cm side length. What is the area of the yard? (The area of mortar joints is negligible)
a) 270m2 b) 2700m2 c) 27000m2 d) 27ha
Câu 4: A 144m of fabric was cut into segments, each segments is 9m long. How many segments are there?
a) 15 b) 16 c) 11 d) 13
Câu 5: There are 61 trees at regular intervals from the beginning of the road to the end of it. The distance between every two consecutive trees is 3m. How long is the road?
a) 183 b) 180 c) 177 d) 186
Bài 3: Điền kết quả thích hợp vào chỗ trống
Câu 1: Comapre: 1/5 tonne ...... 250kg
Câu 2: Convert: 10000dm = ......km
Câu 3: Convert: 2hm 4dam = ...... m
Câu 4: Calculate: 8m 27dm - 2m 4cm = ......cm
Câu 5: The first box contains 350kg of strawberries. The second box contains 50kg of strawberries more than the first one does. How many kilograms of strawberries do the two boxes contain?
Câu 6: Find the value of a such that 2/3 < a/9 < 5/6
Câu 7: Find the value of x such that 216/x m= 2400cm
Câu 8: A tank contained 414l of honey. 1/3 of this amount was taken away. How many liters of honey are left?
Câu 9: A 6 - digit number begins with the digit 8. The number is divisible by 9 and all digits of the number are different. What is the possible smallest value of this number?
Câu 10: The average mass of a group of children is 47kg. If 5/13 of the number of children are girls and their average mass is 39kg. Find the average mass of the boys?
Đáp án đề thi Violympic Toán Tiếng Anh lớp 5 vòng 4
Bài 1: Sắp xếp theo thứ tự tăng dần
11 < 20 < 3 < 10 < 16 < 4 < 15 < 6 < 18 < 8 < 19 < 14 < 7 < 17 < 2 < 5 < 9 < 1 < 13 < 12
Bài 2: Đi tìm kho báu
Câu 1: c Câu 2: b
Câu 3: b Câu 4: b Câu 5: b
Bài 3: Điền kết quả thích hợp vào chỗ trống
Câu 1: < Câu 2: 1 Câu 3: 240 Câu 4: 866 Câu 5: 750
Câu 6: 7 Câu 7: 9 Câu 8: 276 Câu 9: 801234 Câu 10: 52