Theo Nghị định 147/2024/ND-CP, bạn cần xác thực tài khoản trước khi sử dụng tính năng này. Chúng tôi sẽ gửi mã xác thực qua SMS hoặc Zalo tới số điện thoại mà bạn nhập dưới đây:
Đôremon
Toán học
Số em học sinh vắng mặt là:
40 - 1 - 3 = 36 học sinh
Tỉ số phần trăm của số học sinh vắng mặt với học sinh cả lớp là:
36 : 40 x 100 = 90%
Thuỳ Linh
Toán học
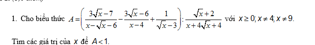
Bài 16:
a) (6x3) : (- 3x2) = - 2x
b) (- 9x2) : (6x) =
c) (x3 - x2 - 5x - 3) : (x - 3)
= (x3 - 3x2 + 2x2 - 6x + x - 3) : (x - 3)
= [x2(x - 3) + 2x(x - 3) +(x -3)] : (x - 3)
= (x - 3)(x2 + 2x +1) : (x - 3)
= x2 + 2x +1
d) (x4 + x3 - 6x2 - 5x + 5) : (x2 +x -1)
= (x4 - 5x2 + x3 - 5x - x2 + 5) :(x2 +x -1)
= [x2(x2 - 5) + x(x2 - 5) - (x2 -5)] : (x2 + x - 1)
= (x2 - 5)(x2 +x -1) : (x2 + x -1)
= x2 - 5
Trốc Tru
Toán học
Xem phương pháp giải bài toán chuyển động ngược chiều gặp nhau tại https://vndoc.com/phuong-phap-giai-bai-toan-chuyen-dong-nguoc-chieu-va-gap-nhau-lop-5-125383
Diện tích hình tròn cũ là: 3,14 x r x r
Bán kính tăng lên 3 lần là: r x 3
Diện tích mới là: 3,14 x r x 3 x r x 3 = 3,14 x r x r x 9
Vậy bán kính tăng 3 lần thì diện tích tăng 9 lần
Xem lý thuyết cộng hai số thập phân tại https://vndoc.com/ly-thuyet-cong-hai-so-thap-phan-tong-nhieu-so-thap-phan-171914
Xem công thức tính chu vi và diện tích hình chữ nhật tại https://vndoc.com/cong-thuc-tinh-chu-vi-hinh-chu-nhat-va-dien-tich-hinh-chu-nhat-122915
Tham khảo chuyên đề tìm GTNN và GTLN tại https://vndoc.com/chuyen-de-tim-gtln-gtnn-cua-bieu-thuc-196098
Hai lúa
Toán học
Lớp 3
3 giờ đầu chú Hùng đi được số mét là:
13 120 x 3 = 39 360 m
Chú Hùng đi được quãng đường dài số mét là:
39 360 + 9 560 = 48 920 m
Đáp số: 48 920m
Thỏ Bông
Toán học
Lớp 3
Mai có tổng số tiền là:
20 000 x 3 = 60 000 đồng
Một hộp bút có giá là:
60 000 : 4 = 15 000 đồng