Lý thuyết của Keynes về sự ưa thích tiền mặt
VnDoc xin giới thiệu bài Lý thuyết của Keynes về sự ưa thích tiền mặt được chúng tôi sưu tầm và tổng hợp nhằm giúp các bạn nắm bắt kiến thức lý thuyết môn Tài chính tiền tệ để hoàn thành học phần của mình một cách hiệu quả.
Lưu ý: Nếu bạn muốn Tải bài viết này về máy tính hoặc điện thoại, vui lòng kéo xuống cuối bài viết.
Bài: Lý thuyết của Keynes về sự ưa thích tiền mặt
Trong khi I. Fisher phát triển quan điểm học thuyết số lượng của mình về MD thì một nhóm các nhà kinh tế ở Cambridge cũng đang nghiên cứu về những vấn đề đó và cũng đưa ra kết luận MD = k ∗ PY . Nhưng khác với Fisher, họ nhấn mạnh sự lựa chọn của các nhân trong việc giữ tiền và không bác bỏ sự ảnh hưởng của lãi suất đến MD.
Trên cơ sở quan điểm này, Keynes xây dựng lý thuyết về cầu tiền tệ được gọi là lý thuyết về sự ưa thích tiền mặt. Lý thuyết này được trình bày trong tác phẩm nổi tiếng: “Học thuyết chung về công ăn việc làm, lãi suất và tiền tệ”. Trong học thuyết của mình, Keynes đã nêu ra 3 động cơ cho việc giữ tiền:
- Động cơ giao dịch:
Các cá nhân nắm giữ tiền vì đó là phương tiện trao đổi có thể dùng để tiến hành các giao dịch hàng ngày. Keynes nhấn mạnh rằng bộ phận của cầu tiền tệ đó trước tiên do mức giao dịch của dân chúng quyết định. Những giao dịch có tỷ lệ với thu nhập cho nên cầu tiền tệ cho giao dịch tỉ lệ với thu nhập.
- Động cơ dự phòng
Keynes thừa nhận rằng ngoài việc giữ tiền để tiến hành giao dịch hàng ngày, người ta còn giữ thêm tiền để dùng cho những nhu cầu bất ngờ. Tiền dự phòng được sử dụng trong các cơ hội mua thuận tiện hoặc cho nhu cầu chi tiêu bất thường.
Keynes tin rằng số tiền dự phòng mà người ta muốn nắm giữ được xác định trước tiên tiên bởi mức độ các giao dịch mà người ta dự tính sẽ thực hiện trong tương lai và những giao dịch đó tỉ lệ với thu nhập, do đó cần tiền dự phòng tỉ lệ với thu nhập.
- Động cơ đầu cơ
Keynes đồng ý rằng tiền tệ là phương tiện cất giữ của cải và gọi động cơ giữ tiền là động cơ đầu cơ. Keynes đồng ý với các nhà kinh tế Cambridge rằng của cải gắn chặt với thu nhập nên bộ phận cấu thành mang tính đầu cơ của cầu tiền tệ sẽ liên quan đến thu nhập, nhưng Keynes tin rằng lãi suất đóng một vai trò quan trọng.
Keynes chia các tài sản có thể được dùng cất giữ của cải làm hai loại: tiền và trái khoán. Keynes giả định rằng lợi tức dự tính về tiền là số không, lợi tức dự tính đối với trái khoán gồm tiền lãi và tỉ lệ dự tính về khoản lợi vốn.
Keynes giả định rằng: các cá nhân tin rằng lãi suất có chiều hướng quay về một giá trị thông thường nào đó. Nếu lãi suất thấp hơn giá trị thông thường đó thì người ta dự tính lãi suất của trái khoán tăng lên trong tương lai và như vậy dự tính sẽ bị mất vốn về trái khoán đó. Kết quả là người ta rất có thể giữ của cải của mình bằng tiền hơn là bằng trái khoán và cầu tiền tệ sẽ cao. Ngược lại, nếu lãi suất cao hơn giá trị thông thường đó, cầu tiền tệ sẽ thấp. Từ lập luận trên cầu tiền tệ là liên hệ âm so với mức lãi suất.
Đặt chung ba động cơ với nhau:
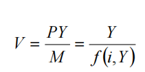
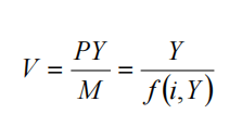
Đặt chung ba động cơ giữ tiền vào phương trình cầu tiền tệ, Keynes đã phân biệt giữ số lượng danh nghĩa với số lượng thực tế. Tiền tệ được đánh giá theo giá trị mà nó có thể mua. Keynes đưa ra phương trình cầu tiền tệ, gọi là hàm số ưa thích tiền mặt, nó cho biết cầu tiền thực tế là một hàm số của i và Y.

Dấu -, + trong hàm số ưa thích tiền mặt có ý nghĩa là cầu về số dư tiền mặt thực tế có liên hệ âm với i và liên hệ dương với Y.
Trong điều kiện cân bằng của thị trường tiền tệ: MD = M

Cầu tiền tệ liên hệ âm với lãi suất, nên khi tăng lên, f (i,Y) giảm xuống và tốc độ tăng lên. Do lãi suất bị biến động mạnh nên thuyết ưa thích tiền mặt chỉ ra rằng tốc độ cũng biến động mạnh.
Như vậy thuyết của Keynes về cầu tiền tệ cho thấy cầu tiền tệ tỉ lệ với thu nhập và có liên hệ âm với lãi suất. Với sự biến động mạnh của tốc độ, học thuyết này cũng chỉ rằng tiền tệ không phải là nhân tố duy nhất ảnh hưởng đến sự thay đổi của thu nhập danh nghĩa.
---------------------------------------
Chúng tôi đã giới thiệu nội dung bài Lý thuyết của Keynes về sự ưa thích tiền mặt về cầu tiền tệ được gọi là lý thuyết về sự ưa thích tiền mặt. Lý thuyết này được trình bày trong tác phẩm nổi tiếng: “Học thuyết chung về công ăn việc làm, lãi suất và tiền tệ”...
Trên đây, VnDoc đã giới thiệu tới các bạn lý thuyết bài Lý thuyết của Keynes về sự ưa thích tiền mặt. Các bạn có thể tham khảo thêm một số tài liệu thuộc các chuyên ngành khác trong Cao đẳng - Đại học cũng như Cao học để phục vụ quá trình nghiên cứu hiệu quả hơn.