Giao diện mới của VnDoc Pro: Dễ sử dụng hơn - chỉ tập trung vào lớp bạn quan tâm. Vui lòng chọn lớp mà bạn quan tâm: Lưu và trải nghiệm
Đóng
Điểm danh hàng ngày
  • Hôm nay +3
  • Ngày 2 +3
  • Ngày 3 +3
  • Ngày 4 +3
  • Ngày 5 +3
  • Ngày 6 +3
  • Ngày 7 +5
Bạn đã điểm danh Hôm nay và nhận 3 điểm!
Nhắn tin Zalo VNDOC để nhận tư vấn mua gói Thành viên hoặc tải tài liệu Hotline hỗ trợ: 0936 120 169

Lý thuyết và bài tập Vật lý 12: Hạt nhân nguyên tử

Lớp: Lớp 12
Môn: Vật Lý
Dạng tài liệu: Lý thuyết
Loại File: PDF
Phân loại: Tài liệu Tính phí

Lý thuyết và bài tập hạt nhân nguyên tử

Lý thuyết và bài tập Vật lý 12: Hạt nhân nguyên tử. Tài liệu cung cấp đến bạn những kiến thức cơ bản về chuyên đề hạt nhân nguyên tử và các bài tập ở dạng trắc nghiệm có sẵn đáp án để các bạn học sinh tham khảo.

VnDoc.com xin gửi tới bạn đọc bài viết Lý thuyết và bài tập Vật lý 12: Hạt nhân nguyên tử để bạn đọc cùng tham khảo. Bài viết được tổng hợp tóm tắt nội dung lý thuyết về hạt nhân nguyên tử và bài tập kèm theo. Mời các bạn cùng tham khảo chi tiết và tải về tại đây nhé.

CHUYÊN ĐỀ HẠT NHÂN NGUYÊN TỬ

A. TÓM TẮT LÝ THUYẾT

I. TÍNH CHẤT VÀ CẤU TẠO HẠT NHÂN

1. Cấu tạo hạt nhân nguyên tử

a. Cấu tạo hạt nhân:

Hạt nhân nguyên tử được cấu tạo từ các nuclôn gồm:

+ prôtôn (p) có mp = 1,67262.10-27 kg, điện tích: +e

+ nơtrôn (n) có mn = 1,67493.10-27 kg, không mang điện tích.

b. Kí hiệu hạt nhân: Hạt nhân nguyên tử được kí hiệu là AZX

+ X: kí hiệu hóa học của nguyên tố.

+ Z: là số prôtôn hay là số hiệu nguyên tử, cũng chính là số thứ tự trong bảng HTTH.

+ A: gọi là số khối, là tổng số các nuclon trong hạt nhân (tổng số prôtôn và số nơtron trong hạt nhân).

→ số nơtron N = A – Z.

c. Kích thước hạt nhân: Hạt nhân nguyên tử có kích thước rất nhỏ, nhỏ hơn kích thước nguyên tử khoảng 104 ÷ 105 lần.

+ Nếu coi hạt nhân nguyên tử là một khối cầu bán kính R thì ta có sự phụ thuộc giữa R và số khối A là

Lý thuyết và bài tập hạt nhân nguyên tửd. Đồng vị: là những hạt nhân có cùng số prôtôn Z nhưng khác số nơtron N, nên khác số khối A gọi là đồng vị.

Ví dụ: Hiđrô có 3 đồng vị: 11H; 21H (Đơtêri: 21D); 31H (Triti: 31T).

2. Khối lượng hạt nhân

a. Đơn vị khối lượng hạt nhân

- Khối lượng của hạt nhân rất lớn so với khối lượng của êlectron nên khối lượng nguyên tử tập trung gần như toàn bộ ở hạt nhân.

- Trong vật lí hạt nhân nguyên tử người ta thường dùng đơn vị đo khối lượng là đơn vị khối lượng nguyên tử, kí hiệu là u.

Đơn vị u có giá trị bằng 1/12 khối lượng nguyên tử của đồng vị 126C.

1u = 1,66055.10-27kg

me = 5,486.10-4u; mp = 1,00728u; mn = 1,00866u; mHe = 4,00150u

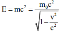
b. Khối lượng và năng lượng

- Hệ thức Anhxtanh: E = mc2

Trong đó: m: là khối lượng của vật.

c = 3.108 m/s là tốc độ ánh sáng trong chân không.

Năng lượng tương ứng với khối lượng 1u (tính ra đơn vị eV):

E = uc2 931,5 MeV

1u ≈ 931,5 MeV/c2

MeV/c2 cũng được coi là một đơn vị đo khối lượng hạt nhân.

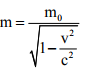
- Theo lí thuyết Anhxtanh: một vật có khối lượng m0 ở trạng thái nghỉ, khi chuyển động với tốc độ v thì khối lượng sẽ tăng lên thành m

Lý thuyết và bài tập hạt nhân nguyên tửVới: m0 là khối lượng nghỉ; m: là khối lượng động.

Khi đó: Lý thuyết và bài tập hạt nhân nguyên tử gọi là năng lượng toàn phần.

E - E0 = (m - m0)c2 chính là động năng của vật.

II. NĂNG LƯỢNG LIÊN KẾT CỦA HẠT NHÂN – PHẢN ỨNG HẠT NHÂN

1. Lực hạt nhân

Lực tương tác giữa các nuclôn trong hạt nhân là lực hút, gọi là lực hạt nhân, có tác dụng liên kết các nuclôn lại với nhau. Lực hạt nhân không phải là lực tĩnh điện, nó không phụ thuộc vào điện tích của nuclôn. So với lực tĩnh điện và lực hấp dẫn, lực hạt nhân có cường độ rất lớn (hay còn gọi là lực tương tác mạnh) và chỉ tác dụng khi hai nuclôn cách nhau một khoảng bằng hoặc nhỏ hơn kích thước hạt nhân (khoảng 10-15 m).

2. Độ hụt khối và năng lượng liên kết của hạt nhân

a. Độ hụt khối

Độ hụt khối của một hạt nhân là hiệu số giữa tổng khối lượng của các nuclôn tạo nên hạt nhân và khối lượng của hạt nhân đó, kí hiệu là Δm

Lý thuyết và bài tập hạt nhân nguyên tửb. Năng lượng liên kết

Năng lượng liên kết của một hạt nhân là năng lượng tối thiểu cần thiết phải cung cấp để tách các nuclôn, được đo bằng tích của độ hụt khối với thừa số c2

Lý thuyết và bài tập hạt nhân nguyên tửc. Năng lượng liên kết riêng

Năng lượng liên kết riêng = Wlk/A

Mức độ bền vững của hạt nhân phụ thuộc vào năng lượng liên kết riêng, thường là những hạt nhân có: 50 < A < 95 nằm trong bảng tuần hoàn.

3. Phản ứng hạt nhân

- Phản ứng hạt nhân là quá trình các hạt nhân có thể tương tác với nhau và biến đổi thành hạt nhân khác.

Ví dụ: Lý thuyết và bài tập hạt nhân nguyên tử

Phản ứng hạt nhân được chia làm 2 loại: phản ứng hạt nhân tự phát và phản ứng hạt nhân kích thích.

+ Phản ứng hạt nhân tự phát: là quá trình tự phân rã của một hạt nhân không bền vững thành các hạt nhân khác.

Ví dụ: quá trình phóng xạ.

+ Phản ứng hạt nhân kích thích: là quá trình các hạt nhân tương tác với nhau tạo ra các hạt nhân khác.

Ví dụ: phản ứng phân hạch, phản ứng nhiệt hạch.

a. Các định luật bảo toàn trong phản ứng hạt nhân:

+ Định luật bảo toàn điện tích (hay nguyên tử số Z):

Tổng điện tích của các hạt trước phản ứng và sau phản ứng bao giờ cũng bằng nhau.

Ví dụ: Dựa vào phản ứng trên, theo định luật bảo toàn điện tích, ta có:

Z1 + Z2 = Z3 + Z4

+ Định luật bảo toàn số nuclôn (hay số khối A):

Tổng số nuclôn của các hạt trước phản ứng và sau phản ứng bao giờ cũng bằng nhau.

Ví dụ: Dựa vào phản ứng trên, theo định luật bảo toàn số khối, ta có:

A1 + A2 = A3 + A4

+ Định luật bảo toàn năng lượng toàn phần:

Năng lượng toàn phần bao gồm năng lượng ở dạng thông thường (như động năng hay lượng tử năng lượng) và năng lượng nghỉ.

Tổng năng lượng toàn phần của các hạt trước phản ứng và tổng năng lượng toàn phần của các hạt sau phản ứng bao giờ cũng bằng nhau.

+ Định luật bảo toàn động lượng p1 = mv1

Tổng véctơ động lượng của các hạt trước phản ứng bằng tổng véctơ động lượng của các hạt sau phản ứng.

*Chú ý: Trong phản ứng hạt nhân không có định luật bảo toàn khối lượng nghỉ.

b. Năng lượng phản ứng hạt nhân

mt = mA + mB: là tổng khối lượng của các hạt trước phản ứng.

ms = mC + mD: là tổng khối lượng của các hạt sau phản ứng.

Tài liệu vẫn còn, mời các bạn tải về

Trên đây VnDoc.com vừa giới thiệu tới các bạn Lý thuyết và bài tập Vật lý 12: Hạt nhân nguyên tử, mong rằng qua đây các bạn có thể học tập tốt môn Vật lý 12. Mời các bạn cùng tham khảo thêm các môn Toán 12, Ngữ văn 12, Tiếng Anh 12, đề thi học kì 1 lớp 12, đề thi học kì 2 lớp 12...

Mời bạn đọc cùng tham gia nhóm Tài liệu học tập lớp 12 để có thêm tài liệu học tập nhé

Chọn file muốn tải về:
Đóng Chỉ thành viên VnDoc PRO/PROPLUS tải được nội dung này!
Đóng
79.000 / tháng
Đặc quyền các gói Thành viên
PRO
Phổ biến nhất
PRO+
Tải tài liệu Cao cấp 1 Lớp
30 lượt tải tài liệu
Xem nội dung bài viết
Trải nghiệm Không quảng cáo
Làm bài trắc nghiệm không giới hạn
Mua cả năm Tiết kiệm tới 48%

Có thể bạn quan tâm

Xác thực tài khoản!

Theo Nghị định 147/2024/ND-CP, bạn cần xác thực tài khoản trước khi sử dụng tính năng này. Chúng tôi sẽ gửi mã xác thực qua SMS hoặc Zalo tới số điện thoại mà bạn nhập dưới đây:

Số điện thoại chưa đúng định dạng!
Số điện thoại này đã được xác thực!
Bạn có thể dùng Sđt này đăng nhập tại đây!
Lỗi gửi SMS, liên hệ Admin
Sắp xếp theo
🖼️

Thi THPT Quốc gia môn Vật Lý

Xem thêm
🖼️

Gợi ý cho bạn

Xem thêm