I. Cách biểu diễn phương trình dao động điều hòa bằng một vecto quay.
- Vectơ OM→ biểu diễn phương trình dao động điều hòa: x = Acos(ωt + φ) tại thời điểm t có những đặc điểm sau:
| x = A cos(ωt + φ) | OM→ ( O là gốc tọa độ) |
| Biên độ A | Độ dài |OM→| = A |
| Tần số góc ω | Quay đều với tốc độ góc ω |
| Pha dao động ωt + φ | Góc hợp bởi vectơ và trục Ox |
II. Phương pháp giản đồ Fre-nen.
- Yêu cầu bài toán: tìm li độ của một vật thực hiện đồng thời 2 dao động điều hòa cùng phương, cùng tần số: x1 = A1cos(ωt + φ1 )
x2 = A2cos(ωt + φ2 )
Khi đó li độ của vật x = x1 + x2 có phương trình như thế nào?
- Phương pháp giản đồ Fre-nen.

B1: biểu diễn li độ x1, x2 tại thời điểm ban đầu bằng các Vectơ (OM1→, OM2→
B2: li độ x = x1 + x2 của dao động tổng hợp tại thời điểm ban đầu được biểu diễn bằng OM→ = OM1→ + OM2→
B3: Sử dụng quy tắc hình bình hành để tìm các đại lượng đặc trưng.
Phương dao động: cùng phương với 2 dao động thành phần.
Tần số: cùng tần số ω với 2 dao động thành phần.
Biên độ
\(A = \left | \vec{OM} \right | = \sqrt{A_{2}^{1} + A_{2}^{2} + 2A_{1} A_{2} cos(\varphi _{1} -\varphi _{2} ) }\)
Pha ban đầu φ:
\(tan\varphi = \frac{A_{1} sin\varphi_{1} + A_{2} sin\varphi_{2} }{A_{1} cos\varphi_{1} + A_{2} cos\varphi_{2}}\)
- Nhận xét: biên độ A phụ thuộc vào A1, A2 và độ lệch pha (φ1 - φ2)
+) Amax = A1 + A2 khi 2 dao động cùng pha: (φ1 - φ2 ) = 2nπ (n = 0, ±1, ±2,...)
+) Amin = |A1 - A2 | khi 2 dao động ngược pha: (φ1 - φ2 ) = (2n + 1)π (n = 0, ±1, ±2,...)
III. Sử dụng máy tính để tổng hợp dao động.
- VD: để tổng hợp 2 dao động x1 = 1 cos(ωt + 2π/3) và x2 = √3cos(ωt + π/6) ta dùng máy tính Casio fx 570 – ES, bấm như sau:
B1: Chọn đơn vị góc là radian ![]()
B2: Chọn chế độ tính toán với số phức
(khi đó máy tính sẽ hiện CMPLX)
B3: Nhập số liệu 
(Màn hình máy tính sẽ hiện thị ![]()
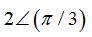
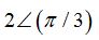
B4: để hiện ra kết quả bấm ![]()
Màn hình sẽ hiện kết quả: ![]()
Nghĩa là biên độ A = 2 và pha ban đầu φ = π/3
Trên đây VnDoc.com vừa gửi tới bạn đọc bài viết Lý thuyết Vật lý 12 Bài 5: Tổng hợp hai dao động điều hòa cùng phương, cùng tần số. Phương pháp Fre-Nen. Hi vọng qua bài viết này bạn đọc có thêm tài liệu để học tập tốt hơn môn Vật lý lớp 12. Mời bạn đọc cùng tham khảo thêm tài liệu học tập môn Toán lớp 12, Lý thuyết Vật lý lớp 12...