- Con lắc đơn gồm một vật nhỏ khối lượng m, treo ở đầu một sợi dây không dãn, khối lượng không đáng kể, có chiều dài l
II. Phương trình dao động

* Xét một con lắc đơn: vật có khối lượng, sợi dây có chiều dài l, không dãn.
- Chọn trục tọa độ như hình vẽ, gốc tọa độ ở VTCB ( vị trí dây treo thẳng đứng). khi đó vị trí của vật được xác định bởi li độ cong (dài) s và li độ góc α. Với s = α.l
- Các lực tác dụng lên vật: trọng lực P→, lực căng dây T→.
- Theo Định luật II Niu-tơn ta có: P→ + T→ = ma→ (1)
- Chiếu (1) lên phương chuyển động ta có:
- Psinα = ma
→ Dao động của con lắc đơn nói chung không dao động điều hòa
Xét: TH góc α nhỏ thì sinα ≈ α (rad) khi đó ta có pt:
⇔ a = s" = -(g/l)s ( phương trình vi phân cấp 2)
Nghiệm của phương trình trên có dạng: s = S0cos(ωt + φ) hay: α = α0 cos(ωt + φ) (với S0 = α0l
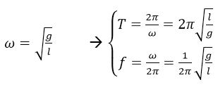
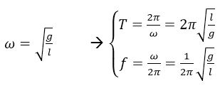
Với 
S0, α0,φ∶ được xác định từ điều kiện ban đầu của bài toán.
III. Năng lượng trong con lắc đơn:
Thế năng trọng trường của con lắc đơn:
Wt = mgh = mgl(1 - cosα)
Cơ năng của con lắc:
W = Wđ + Wt = Wtmax = mgl(1 - cosα0)
Động năng của con lắc đơn:
Wđ = W - Wt = mgl(cosα - cosα0) = (mv2)/2
→ Vận tốc của vật:
\(v\;=\;\sqrt{2gl\;(\cos\;\alpha\;-\;\cos\;\alpha_0)}\)
IV. Lực trong con lắc đơn:
- Trong con lắc đơn: thành phần Psinα đóng vai trò là lực kéo về.
Chiếu (1) lên phương sợi dây ta có:
\(T\hspace{0.278em}-\hspace{0.278em}mg\hspace{0.167em}\cos\alpha\hspace{0.278em}=\;F_{ht}\;=\;m\frac{v^2}l\;\) (do vật chuyển động tròn)
→ Lực căng dây
\(T\;=\;mg\cos\alpha\;+\;m\frac{v^2}l\;=\;mg(3\cos\alpha\;-\;2\cos\alpha_0)\)