Lý thuyết và bài tập Vật lý 12: Dao động và sóng điện từ
Lý thuyết và bài tập Vật lý 12
Việc giảng dạy và học tập môn Vật lý lớp 12 chuyên đề dao động và sóng điện từ của quý thầy cô và các bạn học sinh sẽ trở nên thuận tiện hơn bao giờ hết khi bạn sở hữu tài liệu: Lý thuyết và bài tập Vật lý 12: Dao động và sóng điện từ. Tài liệu cung cấp đến bạn lý thuyết và bài tập trắc nghiệm có đáp án chuyên đề dao động và sóng điện từ.
CHUYÊN ĐỀ DAO ĐỘNG VÀ SÓNG ĐIỆN TỪ
A. TÓM TẮT LÝ THUYẾT
I. MẠCH DAO ĐỘNG
1. Dao động điện - từ trong mạch LC lí tưởng
a) Mạch dao động LC: Gồm một tụ điện có điện dung C mắc nối tiếp với một cuộn dây thuần cảm có độ tự cảm L tạo thành một mạch điện kín.
b) Khảo sát định lượng dao động điện từ trong mạch dao động LC
* Các phương trình dao động điện - từ:

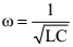
- Điện tích của tụ biến thiên điều hòa: q = q0cos(ωt + φ) với q0 = CU0 = CE và tần số góc ![]()
- Suất điện động cảm ứng trong cuộn dây thuần cảm L biến thiên điều hòa: e =
với u là hiệu điện thế tức thời; U0 = q0/C là hiệu điện thế cực đại giữa hai bản tụ.
- Cường độ dòng điện chạy trong cuộn cảm L biến thiên điều hòa: i = q' = -ωq0 sin(ωt + φ) = I0 cos(ωt + φ + π/2) với I0 = ωq0 là cường độ dòng điện cực đại.
- Hiệu điện thế u giữa hai bản tụ điện: ![]()
- Cường độ dòng điện nhanh pha hơn điện tích và hiệu điện thế giữa hai bản tụ góc π/2
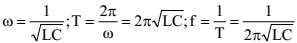
* Tần số góc (ω), chu kì (T), tần số (f): Dao động của mạch LC lí tưởng là dao động tự do có
![]()
2. Năng lượng điện từ của mạch dao động LC lí tưởng
- Điện tích của tu: q = q0cos(ωt + φ)

- Kết luận:
+ Năng lượng điện trường tập trung ở tụ điện và năng lượng từ trường tập trung ở cuộn cảm, năng lượng điện trường và năng lượng từ trường biến thiên tuần hoàn cùng tần số và gấp hai lần tần số dao động tự do của mạch dao động LC.
+ Trong quá trình dao động của mạch, có sự chuyển hóa qua lại giữa năng lượng từ trường và năng lượng điện trường, nhưng tổng của chúng tức là năng lượng điện từ là không đổi.
II. ĐIỆN TỪ TRƯỜNG
1. Mối quan hệ giữa từ trường biến thiên và điện trường biến thiên

- Điện trường xoáy: là điện trường mà đường sức của điện trường là một đường cong kín bao quanh các đường sức của từ trường.
- Từ trường xoáy: là từ trường mà các đường sức của từ trường là một đường cong kín bao quanh các đường sức của điện trường.
- Mỗi biến thiên theo thời gian của từ trường đều sinh ra trong không gian xung quanh một điện trường xoáy biến thiên theo thời gian, và ngược lại, mỗi biến thiên theo thời gian của điện trường cũng sinh ra một từ trường biến thiên theo thời gian trong không gian xung quanh.
2. Điện từ trường
Điện trường biến thiên và từ trường biến thiên cùng tồn tại trong không gian. Chúng có thể chuyển hoá lẫn nhau trong một trường thống nhất được gọi là điện từ trường. Không bao giờ có sự tồn tại riêng biệt của điện trường hay từ trường.
III. NGUYÊN TẮC TRUYỀN SÓNG ĐIỆN TỪ - SÓNG ĐIỆN TỪ
1. Sự lan truyền tương tác điện từ - Sóng điện từ
- Trong sự lan truyền của tương tác điện từ, vận tốc truyền tương tác điện từ bằng vận tốc ánh sáng trong môi trường.
- Sóng điện từ là điện từ trường lan truyền trong không gian.
2. Tính chất của sóng điện từ
- Sóng điện từ lan truyền được trong mọi môi trường kể cả trong chân không. Trong chân không nó lan truyền với vận tốc bằng vận tốc ánh sáng
v = c = 3.108 m/s => λ = cT = v/f = c/f
- Sóng điện từ mang năng lượng.
- Sóng điện từ là sóng ngang, vectơ cường độ cường độ điện trường E và vectơ cảm ứng từ B vuông góc với nhau và cùng vuông góc với phương truyền sóng.
- Trong sóng điện từ, dao động của điện trường và của từ trường tại một điểm luôn cùng pha nhau.
- Sóng điện từ có thể bị phản xạ, khúc xạ, nhiễu xạ, giao thoa.....
3. Mạch dao động hở - Anten:
- Mạch dao động hở: Nếu tách hai bản cực của tụ điện C, đồng thời tách xa các vòng của cuộn cảm L thì điện trường lan toả trong không gian thành sóng điện từ và có khả năng đi rất xa gọi là mạch dao động hở.
- Anten: Là một dạng mạch dao động hở, là một công cụ bức xạ sóng điện từ. Có nhiều dạng khác nhau tuỳ theo tần số sóng và nhu cầu sử dụng.
- Nguyên tắc truyền thông bằng sóng điện từ: Để truyền được thông tin như âm thanh, hình ảnh ... đến nơi xa người ta áp dụng quy trình sau:

- Biến các âm thanh hoặc hình ảnh muốn truyền đi thành các dao động điện tần số thấp gọi là các tín hiệu âm tần.
- Dùng sóng điện từ tần số cao (cao tần) mang các tín hiệu âm tần đi xa qua anten phát.
- Tách tín hiệu ra khỏi sóng cao tần rồi dùng loa để nghe âm thanh đã truyền tới hoặc dùng màn hình để xem hình ảnh.
4. Sự truyền sóng đỉện từ quanh Trái Đất:
Căn cứ vào bước sóng để chia sóng điện từ thành các dải sóng như sau:
- - Sóng dài có λ > 1000 m.
- - Sóng trung có 100 m ≤ λ ≤ 1000 m.
- - Sóng ngắn có 10 m ≤ λ ≤ 100 m bị phản xạ với mức độ khác nhau, có thể đi vòng quanh Trái Đất nhờ phản xạ nhiều lần giữa tầng điện li và Trái Đất, được dùng truyền thanh.
- - Sóng cực ngắn có 1 m ≤ λ ≤ 10 m, không phản xạ mà đi xuyên qua tầng điện li, truyền thẳng từ nơi phát đến nơi thu, dùng để thông tin trong cự li vài chục kilômet hoặc thông tin qua vệ tinh.
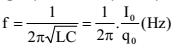
5. Tần số và bước sóng của sóng điện từ mà mạch chọn sóng thu được:
- Tần số sóng điện từ thu đươc: 

B. ĐỀ MINH HỌA PHẦN DAO ĐỘNG ĐIỆN TỪ VÀ SÓNG ĐIỆN TỪ
Câu 1. Dao động điện từ trong mạch LC là dao động điều hòa với chu kì T = 2π
. Khi đó năng lượng điện từ toàn phần trong mạch là một đại lượng
A. biến đổi tuyến tính theo thơi gian.
B. biến đổi theo thời gian với quy luật dạng sin.
C. biến đổi điều hòa theo thời gian với tần số f = 1/2π![]()
D. không đổi và tỉ lệ với bình phương điện tích cực đại của tụ điện.
Câu 2. Trong mạch dao động điện từ có sự biến đổi qua lại giữa
A. điện trường và từ trường.
C. hiệu điện thế và cường độ dòng điện.
B. điện tích và dòng điện.
D. năng lượng điện trường và năng lượng từ trường.
Câu 3. Một mạch dao động LC có tần số dao động riêng là f1 = 90 kHz nếu dùng tụ điện C1 và có tần số f2 = 120 kHz nếu dùng tụ điện C2. Khi dùng tụ điện có dung C = C1 + C2 thì tần số dao động riêng cùa mạch là
A. 210 kHz. B. 72 kHz. C. 30 kHz. D. 105 kHz.
Câu 4. Chọn câu sai. Năng lượng điện trường ở tụ diện và năng lượng từ trường ở cuộn cảm biến thiên tuần hoàn cùng
A. pha nhau. B. chu kì. C. biên độ. D. tần số.
Câu 5. Điện áp cực đại giữa hai ban tụ điện của mạch dao động là U0 = 12 V. Điện dung của tụ diện là C = 4μF. Khi điện áp giữa hai ban tụ diện là 9 V năng lượng tử của mạch dao động là
A. 1.26.10-4 J. B. 2.88.10-4 J. C. 1.62.10-4 J. D. 0.18.10-4 J.
Câu 6. Một mạch dao động có độ tự cảm L. Khi tụ điện có điện dung C1 thì tần số riêng của mạch là f1 = 60kHz, thay C1 bằng tụ C2 thì tần sổ riêng của mạch là f2 = 80 kHz. Ghép các tụ C1, C2 song song rồi mắc vào cuộn cảm L thì tần số riêng của mạch là
A. 100 kHz. B. 140 kHz. C. 20 kHz. D. 48 kHz.
Câu 7. Một mạch chọn sóng của một máy thu vô tuyến điện gồm cuộn cảm L = 4 H và tụ điện có điện dung C. Lấy
\(\pi\)/2 = 10. Để thu sóng điện từ có bước sóng λ = 240 m thì điện dung C phải có giá trị bằng
A. 16 nF.
B. 8 nF.
C. 4 nF.
D. 24 nF.
Câu 8. Một mạch chọn sóng của một máy thu gồm một cuộn dây có độ tự cảm L = 4 μF và một tụ điện có điện dung biến đổi từ: C1 = 10 pF đến C2 = 250 pF. Lấy
\(\pi\)/2 = 10 và tốc độ ánh sáng trong chân không c = 3.108 m/s. Mạch trên thu được dải sóng có bước sóng trong khoảng
A. 12 m đến 60 m.
B. 24 m đến 300 m.
C. 12 m đến 300 m.
D. 24 m dến 120 m.
Tài liệu vẫn còn, mời bạn tải về
Trên đây VnDoc.com vừa giới thiệu tới các bạn Lý thuyết và bài tập Vật lý 12: Dao động và sóng điện từ. Mong rằng qua bài viết này các bạn có thể học tập tốt hơn môn Vật lý lớp 12. Mời các bạn cùng tham khảo thêm các môn Toán 12, Ngữ văn 12, tiếng Anh 12, đề thi học kì 1 lớp 12, đề thi học kì 2 lớp 12...