Giao diện mới của VnDoc Pro: Dễ sử dụng hơn - chỉ tập trung vào lớp bạn quan tâm. Vui lòng chọn lớp mà bạn quan tâm: Lưu và trải nghiệm
Đóng
Điểm danh hàng ngày
  • Hôm nay +3
  • Ngày 2 +3
  • Ngày 3 +3
  • Ngày 4 +3
  • Ngày 5 +3
  • Ngày 6 +3
  • Ngày 7 +5
Bạn đã điểm danh Hôm nay và nhận 3 điểm!
Nhắn tin Zalo VNDOC để nhận tư vấn mua gói Thành viên hoặc tải tài liệu Hotline hỗ trợ: 0936 120 169

Đề thi Violympic Toán lớp 6 vòng 16 năm 2015 - 2016

Đóng
Bạn đã dùng hết 1 lần làm bài Trắc nghiệm miễn phí. Mời bạn mua tài khoản VnDoc PRO để tiếp tục! Tìm hiểu thêm
Mô tả thêm:

Đề thi giải Toán trên mạng lớp 6 có đáp án

Violympic Toán lớp 6 - Mời các bạn học sinh lớp 6 tiếp tục tranh tài với vòng thi 16 (bắt đầu mở từ ngày 11/03/2016) của Cuộc thi giải Toán qua mạng với bài test Đề thi Violympic Toán lớp 6 vòng 16 năm 2015 - 2016 trên trang VnDoc.com. Vận dụng kiến thức đã học cùng kĩ năng giải Toán nhanh nhạy của mình để chinh phục vòng thi mới nhất này nhé!

  • Thời gian làm: 60 phút
  • Số câu hỏi: 25 câu
  • Số điểm tối đa: 25 điểm
Bắt đầu làm bài
Bạn còn 1 lượt làm bài tập miễn phí. Hãy mua tài khoản VnDoc PRO để học không giới hạn nhé! Bạn đã HẾT lượt làm bài tập miễn phí! Hãy mua tài khoản VnDoc PRO để làm Trắc nghiệm không giới hạn và tải tài liệu nhanh nhé!
Mua ngay Đổi điểm
Trước khi làm bài bạn hãy
  • 1 Ôn tập kiến thức đã nêu trong phần Mô tả thêm
  • 2 Tìm không gian và thiết bị phù hợp để tập trung làm bài
  • 3 Chuẩn bị sẵn dụng cụ cần dùng khi làm bài như bút, nháp, máy tính
  • 4 Căn chỉnh thời gian làm từng câu một cách hợp lý
  • Câu 1: Nhận biết
    Bài 1: Hãy điền số thích hợp vào chỗ chấm Câu 1.1:
    Kết quả của phép tính: I(-105) + (-15)I + I(-111) - (-31)I là ...........200
    Đáp án là:
    Bài 1: Hãy điền số thích hợp vào chỗ chấm Câu 1.1:
    Kết quả của phép tính: I(-105) + (-15)I + I(-111) - (-31)I là ...........200
  • Câu 2: Nhận biết
    Câu 1.2: Số thứ 9 của dãy số: -103; -94; -85; -76; ...... có giá trị là: .........-31
    Đáp án là:
    Câu 1.2: Số thứ 9 của dãy số: -103; -94; -85; -76; ...... có giá trị là: .........-31
  • Câu 3: Nhận biết
    Câu 1.3: Kết quả của phép tính: 8273 + (-111) + 227 + (-389) là .........8000
    Đáp án là:
    Câu 1.3: Kết quả của phép tính: 8273 + (-111) + 227 + (-389) là .........8000
  • Câu 4: Nhận biết
    Câu 1.4: Tìm số nguyên x, biết x thỏa mãn: 2x + (-12) = -I-58I
    Trả lời: x =.......-23
    Đáp án là:
    Câu 1.4: Tìm số nguyên x, biết x thỏa mãn: 2x + (-12) = -I-58I
    Trả lời: x =.......-23
  • Câu 5: Nhận biết
    Câu 1.5: Cho đoạnt hẳng AB dài 18cm. C là điểm nằm giữa A và B. Gọi M là trung điểm Ac và N là trung điểm của CB. Độ dài đoạn MN là .......... cm.9
    Đáp án là:
    Câu 1.5: Cho đoạnt hẳng AB dài 18cm. C là điểm nằm giữa A và B. Gọi M là trung điểm Ac và N là trung điểm của CB. Độ dài đoạn MN là .......... cm.9
  • Câu 6: Nhận biết
    Câu 1.6: Cho 3 điểm M, N, P thẳng hàng và điểm N nằm giữa hai điểm M, P. Gọi E và F tương ứng là trung điểm của các đoạn thẳng MN, NP. Biết MN = 5cm. NP = 9cm. Khi đó độ dài đoạn EF là ......... cm.7
    Đáp án là:
    Câu 1.6: Cho 3 điểm M, N, P thẳng hàng và điểm N nằm giữa hai điểm M, P. Gọi E và F tương ứng là trung điểm của các đoạn thẳng MN, NP. Biết MN = 5cm. NP = 9cm. Khi đó độ dài đoạn EF là ......... cm.7
  • Câu 7: Nhận biết
    Câu 1.7: Trên tia Ot vẽ đoạn thẳng OA = 4cm, OB = 3OA, trên tia đối của tia Ot vẽ đoạn thẳng OC = 2OB. Khi đó tổng độ dài: AB + BC + CA là .......... cm.72
    Đáp án là:
    Câu 1.7: Trên tia Ot vẽ đoạn thẳng OA = 4cm, OB = 3OA, trên tia đối của tia Ot vẽ đoạn thẳng OC = 2OB. Khi đó tổng độ dài: AB + BC + CA là .......... cm.72
  • Câu 8: Nhận biết
    Câu 1.8: Cho a là số tự nhiên có chữ số tận cùng là 7, biết rằng sau khi xóa đi chữ số 7 thì a giảm đi 484 đơn vị. Vậy a = ............537
    Đáp án là:
    Câu 1.8: Cho a là số tự nhiên có chữ số tận cùng là 7, biết rằng sau khi xóa đi chữ số 7 thì a giảm đi 484 đơn vị. Vậy a = ............537
  • Câu 9: Nhận biết
    Câu 1.9: Cho đoạn thẳng AB và một điểm M nằm ngoài đường thẳng AB. Gọi C là một điểm thuộc tia AB và nằm giữa A, B. Biết số đo góc AMB = 90o, góc BMC = 30o.
    Số đó góc AMC = ..........o.60
    Đáp án là:
    Câu 1.9: Cho đoạn thẳng AB và một điểm M nằm ngoài đường thẳng AB. Gọi C là một điểm thuộc tia AB và nằm giữa A, B. Biết số đo góc AMB = 90o, góc BMC = 30o.
    Số đó góc AMC = ..........o.60
  • Câu 10: Nhận biết
    Câu 1.10: Biết A = 62xy427 chia hết cho 99. Khi đó x + y = ..........6
    Đáp án là:
    Câu 1.10: Biết A = 62xy427 chia hết cho 99. Khi đó x + y = ..........6
  • Câu 11: Nhận biết
    Bài 2: Đi tìm kho báu Câu 2.1:
    Tìm số nguyên x, biết: 9 - (27 - x) = -I-27I - 15
    Trả lời: x = .........-24
    Đáp án là:
    Bài 2: Đi tìm kho báu Câu 2.1:
    Tìm số nguyên x, biết: 9 - (27 - x) = -I-27I - 15
    Trả lời: x = .........-24
  • Câu 12: Nhận biết
    Câu 2.2: Tìm số nguyên x thỏa mãn: x + (-53) = I-100I - (-37)
    Trả lời: x = ...........190
    Đáp án là:
    Câu 2.2: Tìm số nguyên x thỏa mãn: x + (-53) = I-100I - (-37)
    Trả lời: x = ...........190
  • Câu 13: Nhận biết
    Câu 2.3: Số cặp số nguyên x, y thỏa mãn: 5/x - y/3 = 1/6 là: .........8
    Đáp án là:
    Câu 2.3: Số cặp số nguyên x, y thỏa mãn: 5/x - y/3 = 1/6 là: .........8
  • Câu 14: Nhận biết
    Câu 2.4: Cho các tia OB, OC thuộc cùng một nửa mặt phẳng có bờ chứa tia OA. Gọi M là tia phân giác của góc BOC. Biết góc AOB = 100o, góc AOC = 60o.
    Số đo góc AOM = ...........o.80
    Đáp án là:
    Câu 2.4: Cho các tia OB, OC thuộc cùng một nửa mặt phẳng có bờ chứa tia OA. Gọi M là tia phân giác của góc BOC. Biết góc AOB = 100o, góc AOC = 60o.
    Số đo góc AOM = ...........o.80
  • Câu 15: Nhận biết
    Câu 2.5: Cho a là số tự nhiên nhỏ nhất khác 0. Biết rằng a nhân với 5/12 và 10/21 ta được kết quả đều là các số tự nhiên. Vậy số tự nhiên a là ...........84
    Đáp án là:
    Câu 2.5: Cho a là số tự nhiên nhỏ nhất khác 0. Biết rằng a nhân với 5/12 và 10/21 ta được kết quả đều là các số tự nhiên. Vậy số tự nhiên a là ...........84
  • Câu 16: Nhận biết
    Bài 3: Đỉnh núi trí tuệ Câu 3.1:
    Giá trị của biểu thức: A = 125.(-24) + 24.225 + 26.(-125) - 125.(-36) là ............3650
    Đáp án là:
    Bài 3: Đỉnh núi trí tuệ Câu 3.1:
    Giá trị của biểu thức: A = 125.(-24) + 24.225 + 26.(-125) - 125.(-36) là ............3650
  • Câu 17: Nhận biết
    Câu 3.2: Giá trị của biểu thức A = (-15).x + (-7).y, biết x = -4; y = -5 là ..........95
    Đáp án là:
    Câu 3.2: Giá trị của biểu thức A = (-15).x + (-7).y, biết x = -4; y = -5 là ..........95
  • Câu 18: Nhận biết
    Câu 3.3: Số số nguyên x thỏa mãn: (x + 4) chia hết cho (x + 1) là: ............4
    Đáp án là:
    Câu 3.3: Số số nguyên x thỏa mãn: (x + 4) chia hết cho (x + 1) là: ............4
  • Câu 19: Nhận biết
    Câu 3.4: Giá trị nguyên của biểu thức: A = 4x - 5y, biết x = -8; y = -5 là ............-7
    Đáp án là:
    Câu 3.4: Giá trị nguyên của biểu thức: A = 4x - 5y, biết x = -8; y = -5 là ............-7
  • Câu 20: Nhận biết
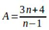
    Câu 3.5: Số các giá trị nguyên của n thỏa mãn để biểu thức: Đề thi Violympic Toán lớp 6 vòng 16 có giá nguyên là: .............4
    Đáp án là:
    Câu 3.5: Số các giá trị nguyên của n thỏa mãn để biểu thức: Đề thi Violympic Toán lớp 6 vòng 16 có giá nguyên là: .............4
  • Câu 21: Nhận biết
    Câu 3.6: Biết rằng 2/3 + 1/3 : x = -1. Khi đó giá trị x = ............-0,2
    Nhập kết quả dưới dạng số thập phân gọn nhất.
    Đáp án là:
    Câu 3.6: Biết rằng 2/3 + 1/3 : x = -1. Khi đó giá trị x = ............-0,2
  • Câu 22: Nhận biết
    Câu 3.7: Số cặp số nguyên x, y thỏa mãn điều kiện: 3/x + y/3 = 5/6 là ......... cặp.6
    Đáp án là:
    Câu 3.7: Số cặp số nguyên x, y thỏa mãn điều kiện: 3/x + y/3 = 5/6 là ......... cặp.6
  • Câu 23: Nhận biết
    Câu 3.8: Cho A là số tự nhiên, biết A chia hết cho 5, chia hết cho 49 và A có 10 ước nguyên dương. Vậy số tự nhiên A là: ................12005
    Đáp án là:
    Câu 3.8: Cho A là số tự nhiên, biết A chia hết cho 5, chia hết cho 49 và A có 10 ước nguyên dương. Vậy số tự nhiên A là: ................12005
  • Câu 24: Nhận biết
    Câu 3.9: Cạnh của một hình vuông tăng 20% thì diện tích của nó sẽ tăng ..........%.44
    Đáp án là:
    Câu 3.9: Cạnh của một hình vuông tăng 20% thì diện tích của nó sẽ tăng ..........%.44
  • Câu 25: Nhận biết
    Câu 3.10: Cho hình chữ nhật ABCD, cạnh AB tăng 36m, cạnh BC giảm 16%. Biết rằng diện tích mới lớn hơn diện tích cũ là 5%.
    Độ dài cạnh AB sau khi tăng là ........ m.180
    Đáp án là:
    Câu 3.10: Cho hình chữ nhật ABCD, cạnh AB tăng 36m, cạnh BC giảm 16%. Biết rằng diện tích mới lớn hơn diện tích cũ là 5%.
    Độ dài cạnh AB sau khi tăng là ........ m.180

Chúc mừng Bạn đã hoàn thành bài!

Đề thi Violympic Toán lớp 6 vòng 16 năm 2015 - 2016 Kết quả
  • Thời gian làm bài: 00:00:00
  • Số câu đã làm: 0
  • Điểm tạm tính: 0
  • Điểm thưởng: 0

Đấu trường Đề thi Violympic Toán lớp 6 vòng 16 năm 2015 - 2016

Đang tìm đối thủ...

Đang tải...

Xác thực tài khoản!

Theo Nghị định 147/2024/ND-CP, bạn cần xác thực tài khoản trước khi sử dụng tính năng này. Chúng tôi sẽ gửi mã xác thực qua SMS hoặc Zalo tới số điện thoại mà bạn nhập dưới đây:

Số điện thoại chưa đúng định dạng!
Số điện thoại này đã được xác thực!
Bạn có thể dùng Sđt này đăng nhập tại đây!
Lỗi gửi SMS, liên hệ Admin
Sắp xếp theo