Giao diện mới của VnDoc Pro: Dễ sử dụng hơn - chỉ tập trung vào lớp bạn quan tâm. Vui lòng chọn lớp mà bạn quan tâm: Lưu và trải nghiệm
Đóng
Điểm danh hàng ngày
  • Hôm nay +3
  • Ngày 2 +3
  • Ngày 3 +3
  • Ngày 4 +3
  • Ngày 5 +3
  • Ngày 6 +3
  • Ngày 7 +5
Bạn đã điểm danh Hôm nay và nhận 3 điểm!
Nhắn tin Zalo VNDOC để nhận tư vấn mua gói Thành viên hoặc tải tài liệu Hotline hỗ trợ: 0936 120 169

Trắc nghiệm Giải hệ phương trình bằng phương pháp thế

Đóng
Bạn đã dùng hết 1 lần làm bài Trắc nghiệm miễn phí. Mời bạn mua tài khoản VnDoc PRO để tiếp tục! Tìm hiểu thêm
Mô tả thêm:

Trắc nghiệm Toán 9 bài 3 Giải hệ phương trình bằng phương pháp thế

Giải hệ phương trình bằng phương pháp thế là phần nội dung bài 3 Chương 3: Hệ hai phương trình bậc nhất hai ẩn trong chương trình Toán 9 học kì 2. Để giúp các em củng cố kiến thức phần này, VnDoc gửi tới các bạn Trắc nghiệm Toán 9 bài 3 Giải hệ phương trình bằng phương pháp thế. Đây là bài tập trắc nghiệm online cho các bạn trực tiếp làm bài và kiểm tra kết quả ngay sau khi làm xong. Bộ câu hỏi gồm 10 câu hỏi trắc nghiệm Toán 9 sẽ giúp các bạn học sinh ôn tập và củng cố kiến thức được học về Giải hệ phương trình bằng phương pháp thế, từ đó luyện giải Toán 9 hiệu quả. Sau đây mời các bạn làm bài.

Mời các bạn luyện thêm các bài trắc nghiệm khác tại chuyên mục Trắc nghiệm lớp 9 trên VnDoc nhé.

  • Số câu hỏi: 10 câu
  • Số điểm tối đa: 10 điểm
Bắt đầu làm bài
Bạn còn 1 lượt làm bài tập miễn phí. Hãy mua tài khoản VnDoc PRO để học không giới hạn nhé! Bạn đã HẾT lượt làm bài tập miễn phí! Hãy mua tài khoản VnDoc PRO để làm Trắc nghiệm không giới hạn và tải tài liệu nhanh nhé!
Mua ngay Đổi điểm
Trước khi làm bài bạn hãy
  • 1 Ôn tập kiến thức đã nêu trong phần Mô tả thêm
  • 2 Tìm không gian và thiết bị phù hợp để tập trung làm bài
  • 3 Chuẩn bị sẵn dụng cụ cần dùng khi làm bài như bút, nháp, máy tính
  • 4 Căn chỉnh thời gian làm từng câu một cách hợp lý
  • Câu 1: Nhận biết

    Câu 1:

    Cho hệ phương trình có nghiệm (x, y). Tích x2. y là?

  • Câu 2: Nhận biết

    Câu 2:

    Cho hệ \left\{\begin{matrix}\sqrt{x+1}+6\sqrt{y}=12\\ 3\sqrt{x+1}-2\sqrt{y}=1 \end{matrix}\right.

    Vậy x gần nhất với số nào dưới đây?

  • Câu 3: Nhận biết

    Câu 3:

    Cho hệ \left\{\begin{matrix}\frac{2}{x}-3y^{2}=13\\ \frac{3}{x}+y^{2}-14=0 \end{matrix}\right. có nghiệm (x ; y). Vậy x bằng:

  • Câu 4: Nhận biết

    Câu 4:

    Hai hệ phương trình \left\{\begin{matrix} x-y=1 \\ 3x-2y=0 \end{matrix}\right. và \left\{\begin{matrix} x-y=1 \\ ax-by=-1 \end{matrix}\right. tương đương khi:

  • Câu 5: Nhận biết

    Câu 5:

    Cho 3 hệ phương trình

    \left\{\begin{matrix} x+y=2 \\ 2x+2y=1 \end{matrix}\right. (I)

    \left\{\begin{matrix} x+y=1 \\ x-y=3 \end{matrix}\right. (II)

    \left\{\begin{matrix} x-y=1 \\ x-y=0 \end{matrix}\right.(III)

    Trong các hệ phương trình trên, 2 hệ phương trình nào tương đương với nhau:

  • Câu 6: Nhận biết

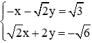
    Câu 6.

    Số nghiệm của hệ phương trình Trắc nghiệm Giải hệ phương trình bằng phương pháp thế có đáp án là?

  • Câu 7: Nhận biết

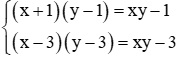
    Câu 7:

    Hệ phương trình Trắc nghiệm Giải hệ phương trình bằng phương pháp thế có đáp án có bao nhiêu nghiệm?

  • Câu 8: Nhận biết

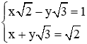
    Câu 8:

    Số nghiệm của hệ phương trình Trắc nghiệm Giải hệ phương trình bằng phương pháp thế có đáp án là?

  • Câu 9: Nhận biết

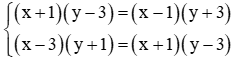
    Câu 9:

    Cho hệ phương trình Trắc nghiệm Giải hệ phương trình bằng phương pháp thế có đáp án. Chọn câu đúng?

  • Câu 10: Nhận biết

    Câu 10:

    Cho hai đường thẳng: d1: mx – 2(3n + 2)y = 6 và d2: (3m – 1)x + 2ny = 56. Tìm tích m.n để hai đường thẳng cắt nhau tại điểm I (−2; 3).

Chúc mừng Bạn đã hoàn thành bài!

Trắc nghiệm Giải hệ phương trình bằng phương pháp thế Kết quả
  • Thời gian làm bài: 00:00:00
  • Số câu đã làm: 0
  • Điểm tạm tính: 0
  • Điểm thưởng: 0
Tải file làm trên giấy

Đấu trường Giải hệ phương trình bằng phương pháp thế

Đang tìm đối thủ...

Đang tải...

Xác thực tài khoản!

Theo Nghị định 147/2024/ND-CP, bạn cần xác thực tài khoản trước khi sử dụng tính năng này. Chúng tôi sẽ gửi mã xác thực qua SMS hoặc Zalo tới số điện thoại mà bạn nhập dưới đây:

Số điện thoại chưa đúng định dạng!
Số điện thoại này đã được xác thực!
Bạn có thể dùng Sđt này đăng nhập tại đây!
Lỗi gửi SMS, liên hệ Admin
Sắp xếp theo