Câu 1:
Với x > 5, cho biểu thức
và B = x.
Có bao nhiêu giá trị của x để A = B?
Liên hệ giữa phép chia và phép khai phương là phần nội dung bài 4 Chương 1: Căn bậc hai - Căn bậc ba thuộc chương trình Toán 9 học kì 1. Để giúp các em củng cố kiến thức phần này, VnDoc gửi tới các bạn Trắc nghiệm Toán 9 bài 4 Liên hệ giữa phép chia và phép khai phương. Đây là bài tập trắc nghiệm online cho các bạn trực tiếp làm bài và kiểm tra kết quả ngay sau khi làm xong. Bộ câu hỏi gồm 10 câu hỏi trắc nghiệm Toán 9 sẽ giúp các bạn học sinh ôn tập và củng cố kiến thức được học về Liên hệ giữa phép chia và phép khai phương, từ đó luyện giải Toán 9 hiệu quả. Sau đây mời các bạn làm bài.
Mời các bạn luyện thêm các bài trắc nghiệm khác tại chuyên mục Trắc nghiệm lớp 9 trên VnDoc nhé.
Điểm khả dụng: 0 điểm
Bạn sẽ dùng 50 điểm để đổi lấy 1 lượt làm bài.
Bạn không đủ điểm để đổi.
Câu 1:
Với x > 5, cho biểu thức
và B = x.
Có bao nhiêu giá trị của x để A = B?
Câu 2:
Với x > 0, cho biểu thức và B = 2x.
Có bao nhiêu giá trị của x để A = B?
Câu 3:
Khẳng định nào sau đây đúng về nghiệm x0 của phương trình:
?
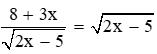
Câu 4:
Nghiệm của phương trình
là?
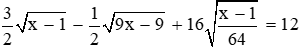
Câu 5:
Nghiệm của phương trình
là?
Câu 6:
Chọn kết luận đúng về nghiệm x0 (nếu có) của phương trình: 
Câu 7:
Giá trị của x để biểu thức nhận giá trị nguyên?
Câu 8:
Giá trị lớn nhất của biểu thức là ?
Câu 9:
Giá trị của biểu thức: là:
Câu 10:
Giá trị nhỏ nhất của biểu thức là:
Theo Nghị định 147/2024/ND-CP, bạn cần xác thực tài khoản trước khi sử dụng tính năng này. Chúng tôi sẽ gửi mã xác thực qua SMS hoặc Zalo tới số điện thoại mà bạn nhập dưới đây: