Câu 1:
Hệ phương trình
có các hệ số khác 0 và
. Chọn câu đúng.
Hệ hai phương trình bậc nhất hai ẩn là phần nội dung bài 2 Chương 3 chương trình Toán 9 học kì 2. Để giúp các em củng cố kiến thức phần này, VnDoc gửi tới các bạn Trắc nghiệm Toán 9 bài 2 Hệ hai phương trình bậc nhất hai ẩn. Đây là bài tập trắc nghiệm online cho các bạn trực tiếp làm bài và kiểm tra kết quả ngay sau khi làm xong. Bộ câu hỏi gồm 10 câu hỏi trắc nghiệm Toán 9 sẽ giúp các bạn học sinh ôn tập và củng cố kiến thức được học về Hệ hai phương trình bậc nhất hai ẩn, từ đó luyện giải Toán 9 hiệu quả. Sau đây mời các bạn làm bài.
Mời các bạn luyện thêm các bài trắc nghiệm khác tại chuyên mục Trắc nghiệm lớp 9 trên VnDoc nhé.
Điểm khả dụng: 0 điểm
Bạn sẽ dùng 50 điểm để đổi lấy 1 lượt làm bài.
Bạn không đủ điểm để đổi.
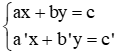
Câu 1:
Hệ phương trình
có các hệ số khác 0 và
. Chọn câu đúng.
Câu 2:
Không giải hệ phương trình, dự đoán số nghiệm của hệ 
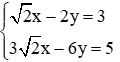
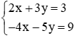
Câu 3:
Không giải hệ phương trình, dự đoán số nghiệm của hệ 
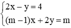
Câu 4:
Xác định giá trị của tham số m để hệ phương trình
vô nghiệm
Câu 5:
Không giải hệ phương trình, dự đoán số nghiệm của hệ 
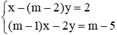
Câu 6:
Xác định giá trị của tham số m để hệ phương trình
có nghiệm duy nhất
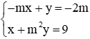
Câu 7:
Xác định giá trị của tham số m để hệ phương trình
có nghiệm duy nhất.
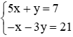
Câu 8:
Hệ phương trình
nhận cặp số nào sau đây là nghiệm?
Câu 9:
Hệ phương trình
nhận cặp số nào sau đây là nghiệm?
Câu 10:
Cho hệ phương trình
. Tìm các giá trị của tham số m để hệ phương trình nhận cặp (1; 2) làm nghiệm
Theo Nghị định 147/2024/ND-CP, bạn cần xác thực tài khoản trước khi sử dụng tính năng này. Chúng tôi sẽ gửi mã xác thực qua SMS hoặc Zalo tới số điện thoại mà bạn nhập dưới đây: