Bộ câu hỏi trắc nghiệm về DNA và tính toán DNA
70 câu hỏi trắc nghiệm về DNA và tính toán DNA
VnDoc.com xin gửi tới bạn đọc bài viết Bộ câu hỏi trắc nghiệm về DNA và tính toán DNA để bạn đọc cùng tham khảo. Bài viết được tổng hợp gồm có 70 câu hỏi trắc nghiệm về DNA và tính toán DNA. Bài viết có đáp án và lời giải chi tiết kèm theo. Mời các bạn cùng theo dõi chi tiết bài viết dưới đây để có thêm tài liệu học tập môn Sinh học lớp 12 nhé.
DNA và tính toán DNA
Câu 1. Vật chất nào dưới đây được xem là vật chất di truyền cấp độ phân tử?
A. Protein.
B. Lipid.
C. Acid nucleic.
D. Protein và acid nucleic.
Câu 2. Acid nucleic bao gồm
A. 4 loại là DNA, mRNA, tRNA và rRNA.
B. 2 loại là DNA và RNA.
C. Nhiều loại tùy thuộc vào bậc phân loại.
D. 3 loại là mRNA, tRNA và rRNA.
Câu 3. Trên một mạch của phân tử DNA có trình tự nucleotide là ATCCTAGTA, ở mạch bổ sung sẽ có trình tự là
A. TAATCCGTA.
B. TAGGATCAT.
C. TAGTATCAT.
D. TAATATCAT.
Câu 4. Loại base nitrogenous dưới đây là thành phần của phân tử nào?

A. DNA.
B. RNA.
C. Lipid.
D. Protein.
Câu 5. Một đơn phân nucleotide có kích thước là
A.3,4 nm.
B. 0,34nm.
C. 34nm.
D. 340nm.
Câu 6. Hai mạch của phân tử DNA liên kết với nhau bằng loại liên kết nào sau đây?
A. Hidrogen.
B. Cộng hoá trị.
C. Ion.
D. Este.
Câu 7. Hình bên mô tả cấu trúc không gian mô phỏng của phân tử DNA, nếu mạch 1 có chiều 5’ – 3’ thì mạch 2 có chiều

A. 3’-5’.
B. 5’-3’.
C. 5’-5’
D. 3’-3’.
Câu 8. Trong tế bào, DNA được phân bố ở những vị trí nào sau đây?
A. Nhân tế bào, bào quan ti thể, lục lạp.
B. Bào quan Golgi, lưới nội chất hạt.
C. Màng tế bào, trung thể, ribosome.
D. Bào quan lysosome, peroxisome.
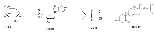
Câu 9. Hình nào sau đây mô tả đúng cấu tạo đơn phân của nucleic acid?

A. Hình I.
B. Hình II.
C. Hình IV.
D. Hình III.
Câu 10. Trên một mạch của đoạn phân tử DNA có trình tự nucleotide là ATCCTAGTA, đoạn phân tử DNA này có tổng số liên kết hidrogen là
A. 22.
B. 21.
C. 30.
D. 28.
Mời các bạn cùng tải về bản DOC hoặc PDF để xem đầy đủ nội dung