Công thức về chuyên đề Cơ chế di truyền và biến dị (1)
VnDoc xin giới thiệu tới bạn đọc Công thức về chuyên đề Cơ chế di truyền và biến dị (1). Hy vọng qua bộ tài liệu các bạn học sinh sẽ giải Sinh học 12 tốt hơn. Mời các bạn học sinh và thầy cô cùng tham khảo.
Cơ chế di truyền và biến dị (1)
I. Các thành phần của ADN
1. Công thức liên quan chiều dài ADN (L) và số lượng nuclêôtit (N):

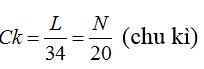
2. Công thức chu kì xoắn (Ck): 
3. Công thức tính tổng số nuclêôtit của gen:

4. Công thức tính khối lượng M: 
5. Công thức tính số liên kết hiđrô: H = 2A + 3G
6. Công thức tính số liên kết photphođieste: P = N - 2
7. Công thức tính số liên kết đường - phôtphat: 
II. Công thức của quá trình tự sao
1. Số ADN con được tạo ra sau k lần tự phân của 1 ADN: 2k
Số ADN con được tạo ra sau k lần tự phân của n ADN: n.2k
2. Số nuclêôtit mà môi trường nội bào cung cấp:

3. Số ADN con có 2 mạch đều mới là: 2k - 2
4. Số liên kết hiđrô được hình thành/phá vỡ: Hht = H.2k
Mời các bạn tham khảo thêm các bài viết dưới đây của chúng tôi:
Trên đây VnDoc đã giới thiệu tới bạn đọc Công thức về chuyên đề Cơ chế di truyền và biến dị (1). Để có kết quả cao hơn trong học tập, VnDoc xin giới thiệu tới các bạn học sinh tài liệu Soạn bài lớp 12, Giải bài tập Toán lớp 12, Giải bài tập Hóa học lớp 12, Giải bài tập Vật Lí 12, Tài liệu học tập lớp 12 mà VnDoc tổng hợp và đăng tải.