Công thức về chuyên đề Cơ chế di truyền và biến dị (2)
VnDoc xin giới thiệu tới bạn đọc Công thức về chuyên đề Cơ chế di truyền và biến dị (2). Hy vọng qua bộ tài liệu các bạn học sinh sẽ giải Sinh học 12 tốt hơn. Mời các bạn học sinh và thầy cô cùng tham khảo.
Cơ chế di truyền và biến dị (2)
I. Quá trình phiên mã
1. Số ribônuclêôtit cần sử dụng trong quá trình phiên mã: 
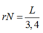
2. Liên hệ giữa chiều dài và số ribônuclêôtit: 
3. Khối lượng của ARN: M = rN x 300 đvC
4. Số liên kết hoá trị giữa các ribônuclêôtit: P = rN – 1.
II. Quá trình dịch mã
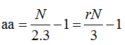
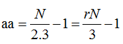
1. Số axit amin cần sử dụng là cho 1 chuỗi pôlipeptit: 
2. Số axit amin ở 1 chuỗi pôlipeptit hoàn chỉnh: ![]()
Mời các bạn tham khảo thêm các bài viết dưới đây của chúng tôi:
- Đột biến số lượng nhiễm sắc thể
- Đột biến nhiễm sắc thể
- Nhiễm sắc thể
- Đột biến gen
- Điều hòa gen
- Công thức về chuyên đề Cơ chế di truyền và biến dị (1)
Trên đây VnDoc đã giới thiệu tới bạn đọc Công thức về chuyên đề Cơ chế di truyền và biến dị (2). Để có kết quả cao hơn trong học tập, VnDoc xin giới thiệu tới các bạn học sinh tài liệu Soạn bài lớp 12, Giải bài tập Toán lớp 12, Giải bài tập Hóa học lớp 12, Giải bài tập Vật Lí 12, Tài liệu học tập lớp 12 mà VnDoc tổng hợp và đăng tải.