Đề kiểm tra chất lượng đầu năm môn Toán lớp 7
Bộ đề thi khảo sát chất lượng đầu năm môn Toán lớp 7
Để chuẩn bị cho kì thi khảo sát chất lượng đầu năm sắp tới, VnDoc.com sưu tầm và đăng tải Đề kiểm tra chất lượng đầu năm môn Toán lớp 7 có đáp án cho các em ôn tập và làm quen với đề, chuẩn bị tốt nhất cho kì thi sắp tới của mình. Sau đây mời các em tham khảo chi tiết.
|
ĐỀ KHẢO SÁT CHẤT LƯỢNG ĐẦU NĂM MÔN: TOÁN 7 Thời gian làm bài: 60 phút. |
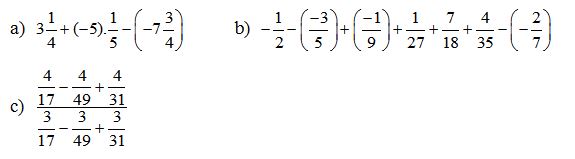
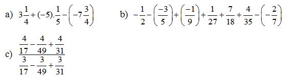
Câu 1 (2,5 điểm). Thực hiện phép tính (Tính nhanh nếu có thể):

Câu 2 (2,5 điểm). Tìm x, biết

Câu 3 (2,0 điểm).
Một lớp học có 45 học sinh bao gồm học sinh Giỏi, Khá và Trung bình. Số học sinh Trung bình chiếm
\(\frac{7}{15}\) số học sinh cả lớp. Số học sinh khá bằng
\(\frac{5}{8}\) số học sinh còn lại. Tính số học sinh Giỏi của lớp.
Câu 4 (2,0 điểm).

Câu 5 (1,0 điểm).
So sánh A và B biết:

------- Hết -------
Đáp án có trong file tải: Đề kiểm tra chất lượng đầu năm môn Toán lớp 7. Để củng cố thêm kiến thức về môn Toán, mời các bạn tham khảo thêm: Giải bài tập Toán lớp 7, Giải Vở BT Toán 7, Đề thi học kì 1 lớp 7, Đề thi giữa kì 1 lớp 7, Đề thi học kì 2 lớp 7... được cập nhật liên tục trên VnDoc.com.