Đề thi khảo sát chất lượng đầu năm môn Toán lớp 7 trường THCS Tiên Động, Hải Dương năm học 2017 - 2018
Đề khảo sát chất lượng đầu năm lớp 7 môn Toán
Đề thi khảo sát chất lượng đầu năm môn Toán lớp 7 trường THCS Tiên Động, Hải Dương năm học 2017 - 2018 là đề kiểm tra đầu năm lớp 7 nhằm đánh giá chất lượng học sinh. Đề thi khảo sát chất lượng đầu năm lớp 7 này có đáp án kèm theo, giúp các em học sinh ôn luyện hiệu quả. Mời các em cùng tham khảo để chuẩn bị tốt nhất cho đề thi khảo sát đầu năm lớp 7 sắp tới nhé.
|
PHÒNG GD&ĐT TỨ KỲ Trường THCS Tiên Động |
BÀI KHẢO SÁT CHẤT LƯỢNG TOÁN 7 Năm học: 2017-2018 Thời gian làm bài 60 phút |
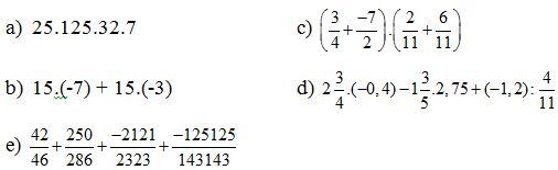
Câu 1 (2,5 điểm): Thực hiện phép tính:

Câu 2 (2,5 điểm): Tìm x, biết:

Câu 3 (1,5 điểm): Lớp 6A có 40 học sinh. Số học sinh giỏi bằng 1/5 số học sinh cả lớp, số học sinh khá bằng 5/2 số học sinh giỏi, số học sinh trung bình bằng 50% số học sinh khá, còn lại là học sinh yếu. Tính số học sinh các loại giỏi, khá, trung bình, yếu.
Câu 4 (2,5 điểm) Trên cùng một nửa mặt phẳng bờ chứa tia Ox vẽ các tia Oy, Oz sao cho góc xOy = 500, góc xOz = 1200.
a) Tính góc yOz?
b) Vẽ tia On, Om lần lượt là tia phân giác của các góc xOy, góc yOz. Tính góc mOn?
c) Vẽ tia Ot là tia đối của tia Oz. Tia Ox có là tia phân giác của góc yOt không? Vì sao?
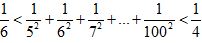
Câu 5 (1 điểm).
Chứng minh rằng:
.
-----Hết-----
Đáp án đề khảo sát chất lượng đầu năm lớp 7 môn Toán


Trên đây, VnDoc.com đã giới thiệu tới các bạn Đề thi khảo sát chất lượng đầu năm môn Toán lớp 7 trường THCS Tiên Động, Hải Dương năm học 2017 - 2018. Mời các bạn tham khảo thêm các tài liệu học tập môn Toán khác được cập nhật liên tục trên VnDoc.com như: Giải bài tập Toán lớp 7, Giải Vở BT Toán 7, Đề thi học kì 1 lớp 7, Đề thi học kì 2 lớp 7, Khảo sát CL đầu năm lớp 7....