Đề thi khảo sát chất lượng đầu năm môn Toán lớp 7 trường THCS Long Xuyên, Hải Dương năm học 2014 - 2015
Đề thi khảo sát chất lượng đầu năm môn Toán lớp 7
Đề thi khảo sát chất lượng đầu năm môn Toán lớp 7 trường THCS Long Xuyên, Hải Dương năm học 2014 - 2015 được VnDoc.com sưu tầm và đăng tải, là đề kiểm tra đầu năm nhằm đánh giá chất lượng học sinh mới lên lớp 7. Mời quý thầy cô và các em cùng tham khảo.
Đề thi khảo sát chất lượng đầu năm môn Toán lớp 7 trường THCS Nhơn Mỹ, Bình Định năm 2016 - 2017
Đề thi khảo sát chất lượng đầu năm lớp 7 môn Toán năm 2013-2014 trường THCS Đa Lộc, Thanh Hóa
|
TRƯỜNG THCS LONG XUYÊN
|
ĐỀ KHẢO SÁT CHẤT LƯỢNG ĐẦU NĂM NĂM HỌC 2014 - 2015 MÔN: TOÁN - LỚP 7 Thời gian làm bài: 90 phút, không kể thời gian giao đề |
Câu 1: (3,0 điểm) Thực hiện các phép tính sau:

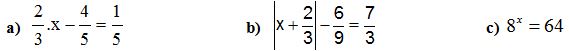
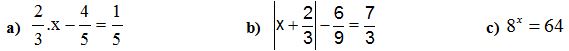
Câu 2: (2,5 điểm) Tìm x biết:

Câu 3: (1,5 điểm)
a. So sánh các phân số sau: ![]()
b. Sắp xếp các số sau theo thứ tự tăng dần: ![]()
Câu 4: (2,0 điểm) Cho hình vẽ 2, cho biết a // b và góc A1 = 400.

a) Viết tên các cặp góc đối đỉnh.
b) Viết tên một cặp góc đồng vị và nêu số đo mỗi góc.
c) Viết tên một cặp góc so le trong và nêu số đo mỗi góc.
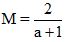
Câu 5: (1,0 điểm) Cho
.Tìm các số nguyên a để M có giá trị nguyên.
Đáp án đề thi khảo sát chất lượng đầu năm môn Toán lớp 7
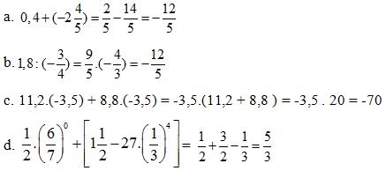
Câu 1 (2 điểm) Mỗi phép tính đúng được 0,75 điểm

(nếu học sinh sử dụng máy tính trực tiếp ra kết quả dúng trừ cả câu 0,5 điểm)
Câu 2 (2,5 điểm)

Câu 3 (1,5 điểm)

HS sử dụng máy tính so sánh trừ 0,25đ
![]()
Câu 4 (2 điểm)
a. Các cặp góc đối đỉnh: góc A1 đối đỉnh góc A3
Góc A2 đối đỉnh góc A4; góc B1 đối đỉnh góc B3; góc B2 đối đỉnh góc B4
b. Một cặp góc đồng vị: Góc A1 đồng vị góc B1, có số đo 40 độ vì đường thẳng a song song với đường thẳng b hoặc góc A2 đồng vị góc B2 có số đo 140 độ vì góc A2 kề bù góc A1
c. Một cặp góc so le trong: góc A3 so le trong với góc B1, có số đo 400
Câu 5 (1 điểm) Để M có giá trị nguyên thì a + 1 phải là ước của 2 mà Ư(2) = {-1; -2; 1; 2}
Nên a = {-3; -2; 0; 1}