Đề thi giữa học kì 1 lớp 9 môn Toán Trường THCS Phan Chu Trinh, Ba Đình năm học 2020 - 2021
Đề thi giữa học kì 1 lớp 9 môn Toán Trường THCS Phan Chu Trinh năm 2020
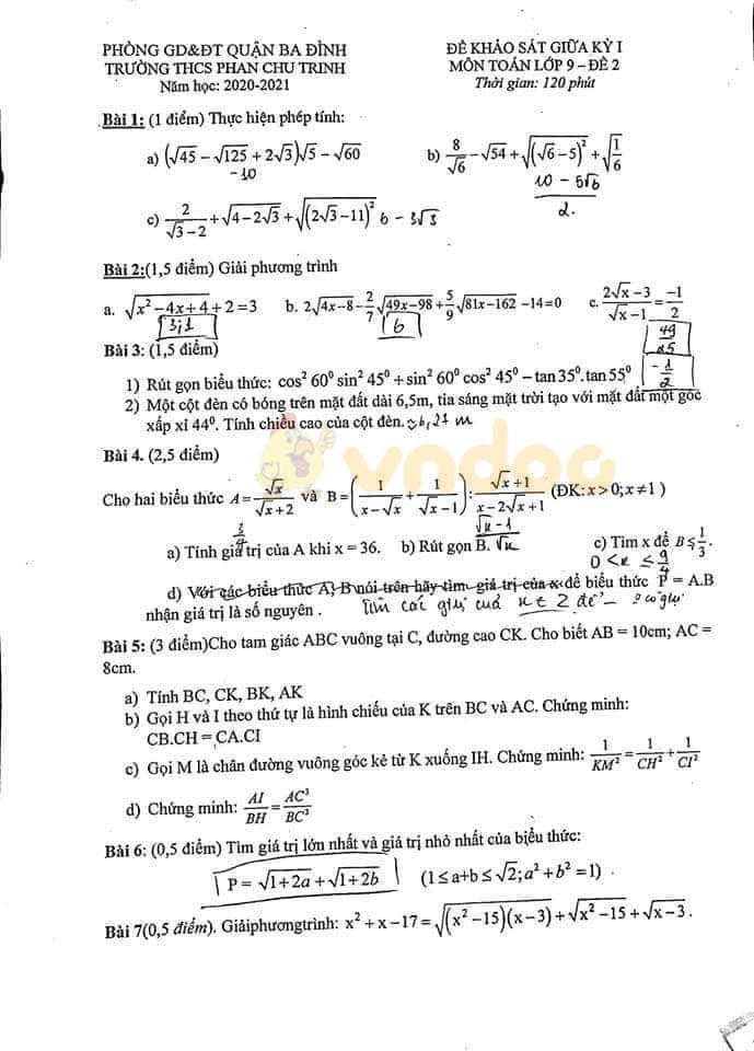
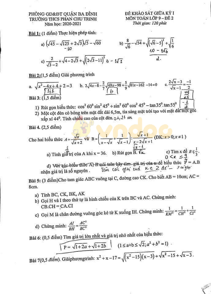
Đề thi giữa học kì 1 lớp 9 môn Toán Trường THCS Phan Chu Trinh, Ba Đình năm học 2020 - 2021 đề 2 được VnDoc sưu tầm và đăng tải. Bộ đề gồm có 7 câu hỏi giúp các bạn có thêm tài liệu ôn tập cũng như củng cố thêm kiến thức môn Toán lớp 9 chuẩn bị cho kì thi sắp tới. Mời các bạn tải và tham khảo tài liệu dưới đây
Ngoài ra, VnDoc.com đã thành lập group chia sẻ tài liệu học tập THCS miễn phí trên Facebook: Tài liệu học tập lớp 9. Mời các bạn học sinh tham gia nhóm, để có thể nhận được những tài liệu mới nhất.
- Đề thi học kì 1 lớp 9 môn Toán Phòng GD&ĐT Quốc Oai năm học 2019 - 2020
- Đề thi học kì 1 lớp 9 môn Toán Phòng GD&ĐT Quan Sơn năm học 2019 - 2020
- Đề thi học kì 1 lớp 9 môn Toán Trường Thực Hành Sư Phạm, Đại học Vinh năm học 2019 - 2020
- Đề thi học kì 1 lớp 9 môn Toán Sở GD&ĐT Lạng Sơn năm học 2019 - 2020
- Đề thi học kì 1 lớp 9 môn Toán Phòng GD&ĐT Kiến Giang, Hải Phòng năm học 2019 - 2020

Đề thi giữa học kì 1 lớp 9 môn Toán Trường THCS Phan Chu Trinh, Ba Đình năm học 2020 - 2021. Đề thi gồm 7 câu hỏi nằm trong chương trình Toán lớp 9. Hy vọng đây sẽ là tài liệu tham khảo hữu ích cho các bạn ôn tập. Chúc các bạn ôn thi tốt ngoài ra các bạn nhớ thường xuyên tương tác với VnDoc.com để nhận thêm nhiều tài liệu hay và bổ ích đấy
- Đề thi học kì 1 lớp 9 môn Toán Sở GD&ĐT Lạng Sơn năm học 2019 - 2020
- Đề thi học kì 1 lớp 9 môn Toán Phòng GD&ĐT Kiến Giang, Hải Phòng năm học 2019 - 2020
- Bộ đề kiểm tra giữa học kì 1 môn Toán lớp 9
..............................................................
Ngoài Đề thi giữa học kì 1 lớp 9 môn Toán Trường THCS Phan Chu Trinh, Ba Đình năm học 2020 - 2021, các bạn học sinh còn có thể tham khảo các đề thi học kì 1 lớp 9, đề thi học kì 2 lớp 9 các môn Toán, Văn, Anh, Lý, Địa, Sinh mà chúng tôi đã sưu tầm và chọn lọc. Với đề thi lớp 9 này giúp các bạn rèn luyện thêm kỹ năng giải đề và làm bài tốt hơn. Chúc các bạn ôn thi tốt