Đề thi giữa học kì 1 lớp 9 môn Toán Trường THCS Võ Thành Trang, TP Hồ Chí Minh năm 2020 - 2021
Đề kiểm tra giữa kì 1 môn Toán lớp 9
Đề thi giữa học kì 1 lớp 9 môn Toán Trường THCS Võ Thành Trang, TP Hồ Chí Minh năm 2020 - 2021 được VnDoc sưu tầm và đăng tải. Đây là đề thi giữa học kỳ 1 lớp 9 môn Toán dành cho các bạn học sinh ôn tập, củng cố kiến thức, rèn luyện kĩ năng làm bài Toán. Mời các bạn cùng tham khảo.
Ngoài ra, VnDoc.com đã thành lập group chia sẻ tài liệu học tập THCS miễn phí trên Facebook: Tài liệu học tập lớp 9. Mời các bạn học sinh tham gia nhóm, để có thể nhận được những tài liệu mới nhất.
- Đề thi giữa học kì 1 lớp 9 môn Toán Trường THCS Thuận An, Long Mỹ năm 2020 - 2021
- Đề thi giữa học kì 1 lớp 9 môn Toán năm 2020 - 2021
- Đề thi giữa học kì 1 lớp 9 môn Toán Phòng GD&ĐT Hà Đông năm 2020 - 2021
- Đề thi giữa học kì 1 lớp 9 môn Toán Trường TH&THCS xã Gia Lộc, Chi Lăng năm 2020 - 2021
|
UBND QUẬN TÂN PHÚ TRƯỜNG THCS VÕ THÀNH TRANG |
ĐỀ KIỂM TRA GIỮA HỌC KỲ I Năm học: 2020 – 2021 MÔN: TOÁN – LỚP 9 Thời gian: 60 phút (Không kể thời gian phát đề) |
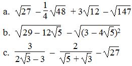
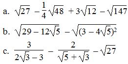
Bài 1: (3 điểm) Tính :

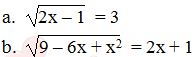
Bài 2: (2 điểm) Giải phương trình :

| Bài 3: (1 điểm) Một máy bay chuẩn bị bay lên theo phương nghiêng hợp với mặt đất 1 góc 300 với vận tốc 200 km/h. Hỏi sau bao lâu kể từ khi cất cánh máy bay sẽ đạt độ cao 900 m so với mặt đất. Biết máy bay xuất phát từ vị trí B như hình vẽ. | ![]() |
Bài 4: (1 điểm) Một lớp có 4 loại học sinh giỏi, khá, trung bình, yếu. Biết số học sinh giỏi chiếm 3/5 số học sinh cả lớp, số học sinh khá chiếm 30% số học sinh cả lớp, số học sinh yếu là 1 học sinh. Tính số học sinh mỗi loại biết tổng số học sinh khá và giỏi gấp 12 lần số học sinh trung bình?
Bài 5: (3 điểm) Cho DABC vuông tại A có đường cao AH. Biết AB = 6cm, HB = 3,6cm.
a. Tính AH, CH, AC và số đo góc C (góc làm tròn đến phút).
b. Trên AC lấy điểm I sao cho IA = IH, từ I kẻ đường song song với AH cắt BC tại K. Chứng minh BK2 = KC2 + AB2.
--------------------------
Ngoài Đề thi giữa học kì 1 lớp 9 môn Toán Trường THCS Võ Thành Trang, TP Hồ Chí Minh năm 2020 - 2021, các bạn học sinh còn có thể tham khảo các đề thi học kì 1 lớp 9, đề thi học kì 2 lớp 9 các môn Toán, Văn, Anh, Lý, Địa, Sinh mà chúng tôi đã sưu tầm và chọn lọc. Với đề thi lớp 9 này giúp các bạn rèn luyện thêm kỹ năng giải đề và làm bài tốt hơn. Chúc các bạn ôn thi tốt!
